Теория случайных функций
Дано: Восстанавливаемая, резервированная система (5,1) с КПУ, вероятность срабатывания КПУ равна b. Время невыхода из строя (т.е. безотказной работы) основного элемента распределено экспоненциально с параметром a . Время восстановления вышедшего из строя элемента распределено экспоненциально с параметром m . Тип резервироавния - ненагруженный. Для описания состояния системы введем двумерный случайный поцесс n (t) = ( x (t), d (t)) с координатами, описывающими: - функционирование элементов x (t) О {0, 1, 2} - число неисправных элементов; - функционирование КПУ d (t) О {0,1} - 1, если исправен, 0 - если нет. Так как времена безотказной работы и восстановления имеют экспоненциальное распределение, то в силу свойств экспоненциального распределения, получим, что x (t) - однородный Марковский процесс. Определим состояние отказа системы: Система отказывает либо если переходит в состояние 2 процесса x (t) (т.е. отказ какого-либо элемента при количестве резервных элементов, равным нулю), либо если находится в состоянии 0 процесса d (t) (т.е. отказ какого-либо элемента и отказ КПУ). Таким образом, можно построить граф состояний системы:
0 -
состояние,
при котором 0 неисправных элементов,
1 -
состояние,
при котором 1 неисправный элемент,
П
-
состояние,
при котором либо 2 неисправных элемента, либо 1 неисправный элемент и неисправный
КПУ,
Найдем интенсивности переходов. Так как выход из строя каждого из элементов - события независимые, то получим: вероятность выхода из строя элемента: 1-exp(-5 a h) = 5 a h + o(h) вероятность восстановления элемента: 1-exp(- m h) = m h + o(h)
Ю
Пусть
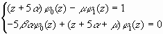
Ю Получим систему дифференциальных уравнений Колмогорова:
Пусть
т.е. применим преобразование
Лапласа к
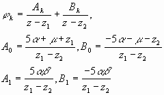
Т.к.
Ю
Ю
(
Представляя каждую из полученных функций в виде суммы двух правильных дробей, получаем:
Применяя
обратное преобразование Лапласа, получаем выражения для функций
Ю
Ю
Ю Искомая вероятность невыхода системы из строя за время t:
где
Итак,
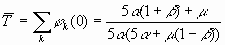
Определим теперь среднее
время жизни такой системы, т.е.
M
T
Ю
Поделитесь этой записью или добавьте в закладки |
Полезные публикации |
,
Главная