Двойной интеграл в полярных координатах
(1) при обычных предположениях мы желаем перейти к полярным координатам r и f, полагая x = r cos j , y = r sin j . (2) Область интегрирования S разобьем на элементарные ячейки D S i с помощью координатных линий r = r i (окружности) и j = j i (лучи) (рис.1). Введем обозначения: D r j = r j+1 - r j , D j i = j i+1 - j i
Так как окружность перпендикулярна (ортогональна) радиусам, то внутренние ячейки D S i с точностью до бесконечно малых высшего порядка
малости относительно их площади можно рассматривать как прямоугольники с измерениями r jD j i и D r j ; поэтому площадь каждой такой ячейки будет равна: D S i = r j D j i D r j (3) Что касается ячеек D S ij неправильной формы, примыкающих к границе Г области интегрирования S, то эти ячейки не повлияют на значение двойного интеграла и мы их будем игнорировать. В качестве точки M ij $ S ij для простоты выберем вершину ячейки D S ij с полярными координатами r j и j i . Тогда декартовые координаты точки M ij равны: x ij = r j cos j i , y ij = r j sin j i . И следовательно, f(x ij ,y ij ) = f(r j cos j i , r j sin j i ) (3')
Двойной интеграл (1) представляет собой предел двумерной интегральной суммы, причем можно показать, что на значение этого предела не влияют добавки к слагаемым
интегральной суммы,
являющиеся бесконечно малыми высшего порядка малости, поэтому учитывая формулы
(3) и (3'),
(4) где d - максимальный диаметр ячеек D S ij и сумма распространена на все ячейки указанного выше вида, целиком содержащиеся в области S. С другой стороны, величины j i и r j суть числа и их можно рассматривать как прямоугольные декартовые координаты некоторых точек плоскости Oj r . Таким образом, сумма (4) является интегральной суммой для функции f(r cosj , r sinj )r,
(5)
(6) Выражение dS = r dj dr называется двумерным элементом площади в полярных координатах. Итак, чтобы в двойном интеграле (1) перейти к полярным координатам, достаточно координаты x и y заменить по формулам (2), а вместо элемента площади dS подставить выражение (7).
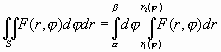
Где r 1 (j ), r 1 (j ) - однозначные непрерывные функции на отрезке [a ,b ]. (рис 2). Имеем
(8)
Где F(r,j ) = rf(r cosj , r sinj )
Пример 1.
Где S - первая четверть круга радиуса R=1, с центром в точке О(0,0) (рис 3). Так как
Область S определена
Неравенствами
Пример 2.
(9) перейти к полярным координатам.
Область интегрирования здесь есть треугольник S, ограниченный прямыми y=0, y=x, x=1 (рис 4). В полярных координатах уравнения этих прямых записываются следующим образом: j =0, j =p /4, r cosj =1 и, следовательно, область S определяется неравенствами
Поделитесь этой записью или добавьте в закладки |
Полезные публикации |
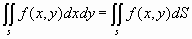
Пусть
в двойном интеграле
соответствующая
прямоугольной сетке с линейными элементами D j
i
и D r
i
.
Следовательно
Сравнивая
формулы (4) и (5), получим окончательно
Переходя
к полярным координатам j и r, вычислить двойной интеграл
получим
В
интеграле
Главная