Доказательство теорем1. *1. Говорят, что функция f(x) не убывает (не возрастает) на (a,b), если для любых точек x 1 <x 2 из (a,b) справедливо неравенство f(x 1 )Ј f(x 2 ) (f(x 1 )і f(x 2 )). *2. Говорят, что функция f(x) возрастает (убывает) на (a,b), если x 1 <x 2 из (a,b) справедливо неравенство f(x 1 )<f(x 2 ) (f(x 1 )>f(x 2 )). В этом случае функцию называют монотонной на (a,b). Т1. Дифференцируемая на (a,b) функция f(x) тогда и только тогда не убывает (не возрастает) на (a,b), когда fў (x)і 0 (Ј 0) при любом xО (a,b). Док-во: 1) Достаточность. Пусть fў (x)і 0 (Ј 0) всюду на (a,b). Рассмотрим любые x 1 <x 2 из (a,b). Функция f(x) дифференцируема (и непрерывна) на [x 1 ,x 2 ]. По теореме Лагранжа: f(x 2 )-f(x 1 )=(x 2 -x 1 )fў (a), x 1 <a<x 2 . Т.к. (x 2 -x 1 )>0, fў (a)і 0 (Ј 0), f(x 2 )-f(x 1 )і 0 (Ј 0), значит, f(x) не убывает (не возрастает) на (a,b). 2) Необходимость. Пусть, например, f(x) не убывает на (a,b), xО (a,b), x+D xО (a,b), D x>0. Тогда (f(x+D x)-f(x))/D xі 0. Переходя к приделу при D xа 0, получим fў (x)і 0. Теорема доказана. Т2. Для возрастания (убывания) f(x) на (a,b) достаточно, чтобы fў (x)>0 (<0) при любом xО (a,b). Док-во: Тоже что и в Т2. Замечание1. Обратное к теореме 2 не имеет места, т.е. если f(x) возрастает (убывает) на (a,b), то не всегда fў (x)>0 (<0) при любом xО (a,b).
*3. Прямая х=а называется вертикальной асимптотой графика функций y=f(x), если хотя бы одно из предельных значений
Замечание 2. Непрерывные функции вертикальных асимптот не имеют.
*4. Прямая y=kx+b называется наклонной асимптотой графика функции y=f(x) при xа +Ґ (–Ґ ), если f(x)=kx+b+a (x), где
Т3. Прямая y=kx+b называется наклонной асимптотой графика функции y=f(x) при xа +Ґ (–Ґ ), тогда и только тогда, когда существуют
Замечание3. При k=0 прямая y=b называется горизонтальной асимптотой, причем при xа +Ґ (–Ґ ) – правой (левой).
2. *1. Точку х 0 назовем стандартной для функции f(x), если f(x) дифференцируема в точке x 0 и fў (x 0 )=0. *2. Необходимое условие экстремума. Если функция y=f(x) имеет в точке x 0 локальный экстремум, то либо x 0 – стационарная точка, либо f не является дифференцируемой в точке x 0 . Замечание 1. Необходимое условие экстремума не является достаточным. Т1. (Первое достаточное условие экстремума). Пусть y=f(x) дифференцируема в некоторой окрестности точки x 0 , кроме, быть может, самой точки x 0 , в которой она является непрерывной. Если при переходе x через x 0 слева направо fў (x) меняет знак с + на –, то точка x 0 является точкой максимума, при перемене знака с – на + точка x 0 является точкой минимума. Док-во: Пусть xО (a,b), x№ x 0 , (a,b) – достаточно малая окрестность точки x 0 . И пусть, например, производная меняет знак с + на –. Покажем что f(x 0 )>f(x). По теореме Лагранжа (применительно к отрезку [x,x 0 ] или [x 0 ,x]) f(x)–f(x 0 )=(x- x 0 )fў (a ), где a лежит между x 0 или x: а) x< x 0Ю x- x 0 <0, fў (a )>0Ю f(x)–f(x 0 )<0Ю f(x 0 )>f(x); б) x>x 0Ю x–x 0 >0, fў (a )<0Ю f(x)–f(x 0 )<0Ю f(x 0 )>f(x). Замечание 2. Если fў (x) не меняет знака при переходе через точку х 0 , то х 0 не является точкой экстремума. Т2. (Второе достаточное условие экстремума). Пусть x 0 – стационарная точка функции y=f(x), которая имеет в точке x 0 вторую производную. Тогда: 1) fў ў ( x 0 )>0Ю f имеет в точке x 0 локальный минимум. 2) fў ў ( x 0 )<0Ю f имеет в точке x 0 локальный максимум.
3. *1. График функции y=f(x) называется выпуклым вниз (или вогнутым вверх) в промежутке (a,b), если соответствующая дуга кривой расположена выше касательной в любой точке этой дуги. *2. График функции y=f(x) называется выпуклым вверх (или вогнутым вниз) в промежутке (a,b), если соответствующая дуга кривой расположена ниже касательной в любой точке этой дуги. Т1. Пусть y=f(x) имеет на (a,b) конечную 2-ю производную. Тогда: 1) fў ў (x)>0, " xО (a,b)Ю график f(x) имеет на (a,b) выпуклость, направленную вниз; 2) ) fў ў (x)<0, " xО (a,b)Ю график f(x) имеет на (a,b) выпуклость, направленную вверх *3. Точка (c,f(с)) графика функций f(x) называется точкой перегиба, если на (a,c) и (c,b) кривая y=f(x) имеет разные направления выпуклости ((a,b) – достаточно малая окрестность точки c). Т2. (Необходимое условие перегиба). Если кривая y=f(x) имеет перегиб в точке (c, f(c)) и функция y=f(x) имеет в точке c непрерывную вторую производную, то fў ў (c)=0. Замечание1. Необходимое условие перегиба не является достаточным. Замечание2. В точке перегиба вторая производная может не существовать. Т3. (Первое достаточное условие перегиба). Пусть y=f(x) имеет вторую производную на cО (a,b), fў ў (c)=0. Если fў ў (x) имеет на (a,c), (c,b) разные знаки, то (c, f(c)) – точка перегиба графика f(x). Т4. (Второе условие перегиба). Если y=f(x) имеет в точке конечную третью производную и fў ў (c)=0, а fў ў ў (c)№ 0, тогда (c, f(c)) – точка перегиба графика f(x).
4. *1. Первообразная от функции f(x) в данном интервале называется функция F(x), производная которой равна данной функции: Fў (x)=f(x). T1. Всякая непрерывная функция имеет бесчисленное множество первообразных, причем любые две из них отличаются друг от друга только постоянным слагаемым. Док-во: F(x) и Ф(х) – две первообразные от f(x), тождественно не равные между собой. Имеем Fў (x)=f(x), Фў (х)=f(x). Вычитая одно равенство из другого, получим [F(x)–Ф(х)]ў =0. Но если производная от некоторой функции (в нашем случае от F(x)–Ф(х)) тождественно равна нулю, то сама функция есть постоянная; Ю F(x)–Ф(х)=С.
*2. Неопределенным интегралом от данной функции f(x) называется множество
всех его первообразных
5. Свойства неопределенного интеграла:
Т2. (об инвариантности формул интегрирования): Пусть т f(x)dx=F(x)+C – какая-либо известная формула интегрирования и u=ф(х) – любая функция, имеющая непрерывную производную. Тогда т f(u)du=F(u)+C. Док-во: Из того, что т f(x)dx=F(x)+C, следует Fў (x)=f(x). Возьмем функцию F(u)=F[ф(x)]; для её дифференциала, в силу теоремы об инвариантности вида первого дифференциала функции, имеем: dF(u)=Fў (u)du=f(u)du. Отсюда т f(u)du=т dF(u)=f(u)+C.
6. Метод замены переменных.
1) Подведение под знак дифференциала. Т1. Пусть функция y=f(x) определена и дифференцируема, пусть также существует f(x)=f(j (t)) тогда если функция f(x) имеет первообразную то справедлива формула:
Замечание1. При интегрировании иногда целесообразно подбирать подстановку не в виде x=j (t), а в виде t=j (x). 2) Подведение под знак дифференциала. F(x)dx=g(j (x)) j ў (x)dx=g(u)du. т f(x)dx=т g(j (x)) j ў (x)dx=т g(u)du.
Интегрирование по частям: т udv=uv-т vdu. До-во: Пусть u(x) и v(x) – функции от х с непрерывными производными. D(uv)=udv+vdu,Ю udv=d(uv)-vduЮ (интегрируем) т udv=т d(uv)-т vdu или т udv=uv-т vdu.
7. Интегрирование по частям: т udv=uv-т vdu. До-во: Пусть u(x) и v(x) – функции от х с непрерывными производными. D(uv)=udv+vdu,Ю udv=d(uv)-vduЮ (интегрируем) т udv=т d(uv)-т vdu или т udv=uv-т vdu. Интегрирование функций, содержащих квадратный трехчлен:
Первый интеграл табличного вида: т du/u
k
:
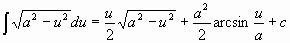
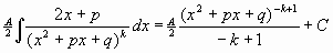
Второй интеграл сводится к нахождению интеграла: где u=x+p/2, a=
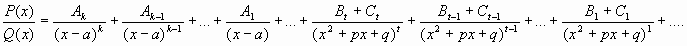
Интегрирование рациональных функций: R(x)=P(x)/Q(x), R(x)-рациональная функция, P(x) и Q(x)-многочлены. Дробь P(x)/Q(x) можно разложить в сумму простейших дробей, где A
i
, B
i
, C
i
– постоянные, а именно: каждому множителю (x-a)
k
в представлении знаменателя Q(x) соответствует в разложении дроби P(x)/Q(x) на слагаемые сумма k простейших дробей типа
Правила интегрирования рациональных дробей:
Правую рац. дробь разлагают на сумму простейших дробей. Этим самым интегрирование правильной рац. дроби сводят к интегрированию простейших дробей.
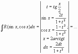
8. Интегрирование тригонометрических функций:
9. Интегрирование иррациональных функций:
10. Определенный интеграл:
, где x i –x i–1 =D x i ;
I=
*1. Определенным интегралом называется предел интегральной суммы
Т1. (Необходимое условие существования интеграла): Если ОИ существует,
т.е. функция f(x) интегрируема не [a,b], то f(x) ограничена на этом отрезке.
Но этого не достаточно. Док-во: Функция Дирихле:
Поделитесь этой записью или добавьте в закладки |
Полезные публикации |
,где Fў (x)=f(x).
;
,
x=
, dx=
Главная