Экспериментальные исследования диэлектрических свойств материалов
Цель работы: определение диэлектрической проницаемости и поляризационных характеристик различных диэлектриков, изучение электрических свойств полей, в них исследование линейности и дисперсии диэлектрических свойств материалов. Теоретическая часть: Схема экспериментальной установки.
В эксперименте используются следующие приборы: два вольтметра PV1 (стрелочный) и PV2 (цифровой) , генератор сигналов низкочастотный, макет-схема, на которой установлен резистор R=120 Ом, конденсатор, состоящий из набора пластин различных диэлектриков (толщиной d=2 мм) . Собираем схему, изображенную на РИС. 1. Ставим переключатель SA в положение 1. Подготавливаем к работе и включаем приборы. Подаем с генератора сигнал частоты f = 60 кГц и напряжением U=5 В, затем по вольтметру PV1 установить напряжение U1=5 В. Далее, вращая подвижную пластину, измеряем напряжение U2 для конденсатора без диэлектрика и 4-x конденсаторов с диэлектриками одинаковой толщины. При этом напряжение U1 поддерживаем постоянным.
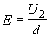
Напряженность поля между пластинами в вакууме Е
0
вычисляется по формуле:
Экспериментальная часть:
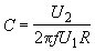
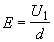
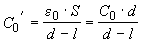
В данной работе используются формулы:
Опыт №1. Измерение диэлектрической проницаемости и характеристик поляризации материалов. U 1 = 5В, R=120Ом, f=60 кГц, d=0,002м.
Для гетинакса подсчитаем:
Расчет погрешностей:
R=120Ом, f=60 кГц, d=0,002м.
График зависимости e = f(E) - приблизительно прямая, так как диэлектрическая проницаемость не зависит от внешнего поля. Опыт № 3. Исследование зависимости диэлектрической проницаемости среды от частоты внешнего поля. U 1 = 5В, R=120Ом.
По графику зависимости e = F(f) видно, что диэлектрическая проницаемость среды не зависит от частоты внешнего поля. График зависимости Х С =F(1/f) подтверждает, что емкостное сопротивление зависит от 1/f прямо пропорционально. Опыт № 4. Исследование зависимости емкости конденсатора от угла перекрытия диэлектрика верхней пластиной. U 1 = 5В, R=120Ом, f=60 кГц, d=0,002м, r=0,06м, n=18.
Опыт № 5. Измерение толщины диэлектрической прокладки. U 1 = 5В, R=120Ом, f=60 кГц. Схема конденсатора с частичным заполнением диэлектриком. U 2 (стеклотекстолит тонкий) =0,051В, U 2 (стеклотекстолит толстый) =0,093В, U 2 (воздух) =0,039В.
Вывод: На этой работе мы определили диэлектрическую проницаемость и поляризационные характеристики различных диэлектриков, изучили электрические свойства полей, в них исследовали линейность и дисперсность диэлектрических свойств материалов. Поделитесь этой записью или добавьте в закладки |
Полезные публикации |
Главная