Тепловой и динамический расчет двигателя внутреннего сгорания
Задание №24 1 Тип двигателя и системы питания - бензиновый, карбюраторная. 2 Тип системы охлаждения - жидкостная.
3 Мощность
4 Номинальная частота вращения
n
=3200 [
5 Число и расположение цилиндров
6 Степень сжатия - e=7.5 7 Тип камеры сгорания - полуклиновая.
8 Коэффициент избытка воздуха - a=0.9
9 Прототип - ЗИЛ-130
================================================= Решение: 1 Характеристика топлива.
Элементарный состав бензина в весовых массовых долях: С=0.855 ; Н=0.145 Молекулярная масса и низшая теплота сгорания:
2 Выбор степени сжатия. e=7.5 ОЧ=75-85 3 Выбор значения коэффициента избытка воздуха. a=0.85-0.95 a=0.9 4 Расчёт кол-ва воздуха необходимого для сгорания 1 кг топлива
5 Количество свежей смеси
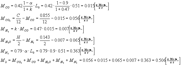
6 Состав и количество продуктов сгорания
7 Теоретический коэффициент молекулярного изменения смеси
8 Условия на впуске P0=0.1 [MПа] ; T0=298 [K] 9 Выбор параметров остаточных газов Tr=900-1000 [K] ; Возьмём Tr=1000 [K] P r =(1.05-1.25) P 0 [MПа] ; P r =1.2*P 0 =0.115 [Mпа] 10 Выбор температуры подогрева свежего заряда
11 Определение потерь напора во впускной системе
12 Определение коэффициента остаточных газов
13 Определение температуры конца впуска
14 Определение коэффициента наполнения
15 Выбор показателя политропы сжатия
16 Определение параметров конца сжатия
17 Определение действительного коэффициента молекулярного изменения
18 Потери теплоты вследствие неполноты сгорания
19 Теплота сгорания смеси
20 Мольная теплоёмкость продуктов сгорания при температуре конца сжатия
22 Мольная теплоёмкость при постоянном объёме рабочей смеси в конце сжатия
23 Мольная теплоёмкость при постоянном объёме рабочей смеси
24 Температура конца видимого сгорания
25 Характерные значения Т z
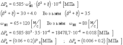
26 Максимальное давление сгорания и степень повышения давления
27 Степень предварительного -p и последующего -d расширения
28 Выбор показателя политропы расширения n 2
29 Определение параметров конца расширения
30 Проверка правильности выбора температуры остаточных газов Т r
31 Определение среднего индикаторного давления
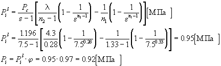
32 Определение индикаторного К. П. Д.
33 Определение удельного индикаторного расхода топлива
34 Определение среднего давления механических потерь
35 Определение среднего эффективного давления
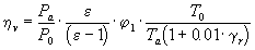
36 Определение механического К. П. Д.
37 Определение удельного эффективного расхода топлива
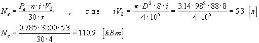
38 Часовой расход топлива
39 Рабочий объём двигателя
40 Рабочий объём цилиндра
41 Определение диаметра цилиндра
42 Ход поршня
43 Проверка средней скорости поршня
44 Определяются основные показатели двигателя
45 Составляется таблица основных данных двигателя
Построение индикаторной диаграммы Построение производится в координатах: давление (Р) -- ход поршня (S) .
1 Рекомендуемые масштабы а) масштаб давления: m
p
=0.025 (Мпа/мм) б) масштаб перемещения поршня: m
s
=0.75 (мм*S/мм) 2
8 Построение диаграммы, соответствующей реальному (действительному) циклу.
Угол опережения зажигания:
В нашем случае прототипом является двигатель ЗИЛ-130. Его характеристики:
Динамический расчёт
Выбор масштабов: Давления
Диаграмма суммарной силы
Диаграмма сил N, K, T
Аналитическое выражение сил:
Полярная диаграмма силы R шш , действующей на шатунную шейку коленвала.
Расстояние смещения полюса диаграммы
Анализ уравновешенности двигателя У 4 х тактного V-образного 8 ми цилиндрового двигателя коленвал несимметричный. Такой двигатель рассматривают как четыре 2 ух цилиндровых V-образных двигателя, последовательно размещённых по оси коленвала.
Равнодействующая сил инерции I порядка каждой пары цилиндров, будучи направлена по радиусу кривошипа, уравновешивается противовесом, т.е. в двигателе с противовесами:
Моменты от сил инерции II порядка, возникающие от 1-й и 2-й пар цилиндров, равны по значению и противоположены по знаку;точно так же от 2-й и 3-й пар цилиндров. Диаграмма суммарного индикаторного крутящего момента М кр Величина суммарного крутящего момента от всех цилиндров получается графическим сложением моментов от каждого цилиндра, одновременно действующих на коленвал при данном значении угла j. Последовательность построения М кр : На нулевую вертикаль надо нанести результирующую суммирования ординат 0+3+6+9+12+15+18+21 точек, на первую 1+4+7+10+13+16+19+22 точек и т.д. Потом сравнивается со значением момента полученного теоретически.
Проверка правильности построения диаграммы:
Схема пространственного коленчатого вала 8 цилиндрового V-образного двигателя
Поделитесь этой записью или добавьте в закладки |
Полезные публикации | |||||||||||||||||||||||||||||||||||||||||||||||||||||||||||||||||||||||||||||||||||||||||||||||||||||||||||||||||||||||||||||||||||||||||||||||||||||||||||||||||||||||||||||||||||||||||||||||||||||||||||||||||||||||||||||||||||||||||||||||||||||||||||||||||||||||||||||||||||||||||||||||||||||||||||||||||||||||||||||||||||||||||||||||||||||||||||||||||||||||||||||||||||||||||||||||||||||||||||||||||||||||||||||||||||||||||||||||||||||||||||||||||||||||||||||||||||||||||||||||||
Наше значение входит в этот интервал.
;
;
Максимальное давление рабочего цикла P
z
достигает величины
Расстояние от нового полюса П
шш
до любой точки диаграммы равно геометрической сумме векторов K
rш
и S
Все эти силы лежат в одной плоскости, равны по абсолютному значению, но попарно отличаются лишь знаками. Их геометрическая сумма = 0.
Главная