Теория относительностиПлан: 1. Происхождение названия “теория относительности” 2. Теория относительности, как современная теория пространства-времени 3. Постулаты Эйнштейна 4. Вывод преобразрваний Лоренца без постулата о постоянстве скорости света 5. Изображение преобразований Лоренца на плоскости Минковского 6. Некоторые "парадоксы" теории относительности: 6.а. Сокращение движущихся масштабов 6.б. Замедление движущихся часов 6.в. Парадокс часов 7. Список используемой литературы
Происхождение названия “теория относительности” Название “теория относительности” возникло из наименования основного принципа (постулата), положенного Пуанкаре и Эйнштейном в основу из всех теоретических построений новой теории пространства и времени. Содержанием теории относительности является физическая теория пространства и времени, учитывающая существующую между ними взаимосвязь геометрического характера. Название же “принцип относительности” или “постулат относительности”, возникло как отрицание представления об абсолютной неподвижной системе отсчета, связанной с неподвижным эфиром, вводившимся для объяснения оптических и электродинамических явлений. Дело в том, что к началу двадцатого века у физиков, строивших теорию оптических и электромагнитных явлений по аналогии с теорией упругости, сложилось ложное представление о необходимости существования абсолютной неподвижной системы отсчета, связанной с электромагнитным эфиром. Зародилось, таким образом, представление об абсолютном движении относительно системы, связанной с эфиром, представление, противоречащее более ранним воззрениям классической механики (принцип относительности Галилея). Опыты Майкельсона и других физиков опровергли эту теорию “неподвижного эфира” и дали основание для формулировки противоположного утверждения, которое и получило название “принципа относительности”. Так это название вводится и обосновывается в первых работах Пуанкаре и Эйнштейна. Эйнштейн пишет: “.. неудавшиеся попытки обнаружить движение Земли относительно “светоносной среды” ведут к предположению, что не только в механике, но и в электродинамике никакие свойства явлений не соответствуют понятию абсолютного покоя, и даже более того,- к предположению, что для всех координатных систем, для которых справедливы уравнения механики, имеют место те же самые электродинамические и оптические законы, как это уже доказано для величин первого порядка. Мы намерены это положение (содержание которого в дальнейшем будет называться “принципом относительности”) превратить в предпосылку... “ А вот что пишет Пуанкаре: “Эта невозможность показать опытным путем абсолютное движение Земли представляет закон природы; мы приходим к тому, чтобы принять этот закон, который мы назовем постулатом относительности , и примем его без оговорок.”
Но крупнейший советский теоретик Л. И. Мандельштам в своих лекциях по теории относительности разъяснял: “Название “принцип относительности” - одно из самых неудачных. Утверждается независимость явлений от неускоренного движения замкнутой системы. Это вводит в заблуждение многие умы” На неудачность названия указывал и один из творцов теории относительности, раскрывший ее содержание в четырехмерной геометрической форме, - Герман Минковский. В 1908 г. он утверждал: “... термин “постулат относительности” для требования инвариантности по отношению к группе
Таким образом, мы видим, что названия “принцип относительности” и “теория относительности” не отражают истинного содержания теории. Теория относительности, как современная теория пространства-времени. Содержание теории относительности, как четырехмерной физической теории пространства и времени, впервые отчетливо было вскрыто Германом Минковским в 1908 г. Лишь опираясь на эти представления, Эйнштейн сумел в 1916 г. построить общую теорию пространства-времени, включающую явление гравитации (общая теория относительности). Основным отличием представлений о пространстве и времени теории относительности от представлений ньютоновской физики является ограниченная взаимосвязь пространства и времени . Эта взаимосвязь раскрывается в формулах преобразования координат и времени при переходе от одной системе отсчета к другой (преобразования Лоренца)
Вообще каждое физическое явление протекает в пространстве и времени и не может быть изображено в нашем сознании иначе, как в пространстве и во времени. Пространство и время суть формы существования материи. Никакой материи не существует вне пространства и времени. Конкретным изображением пространства и времени является
система отсчета
, т.е. координатно-временное многообразие чисел
Вместо чисел
Итак, каждое возможное изображение пространства и времени можно связать с определенной системой отсчета, систему отсчета - с реальным телом, координаты - с конкретными точками тела, моменты времени
Не следует однако отожествлять систему отсчета с телом отсчета, как это предполагают физики. Физики при изображении явлений пользуются любыми системами отсчета, в том числе и такими с которыми невозможно связать какое-либо реальное тело. Основанием для такого выбора служит представление о полном равноправии всех мыслимых систем отсчета. Следовательно, выбор системы отсчета является лишь выбором способа изображения пространства и времени для отображения исследуемого явления.
Если выбраны две системы отсчета
остается одинаковым при переходе от Е к Е’, т.е.
Иначе говоря,
Из (c), так же как из (a) и (b), следует
относительность одновременности
пространственно разобщенных событий, т.е. для двух событий,
В этих свойствах пространственно-временных координат и отражается существо новых представлений о пространстве и времени, связанных в единое геометрического типа многообразие, многообразие с особой, определяемой (а) и (b) четырехмерной псевдоевклидовой геометрией, геометрией, в которой время тесно связано с пространством и не может рассматриваться независимо от последнего, как это видно из (d). Из этих же представлений вытекают важнейшие следствия для законов природы, выражаемые в требовании ковариантности (т.е. неизменяемости формы) любых физических процессов по отношению к преобразованиям четырехмерных пространственно-временных координат. В требовании также отражается представление о пространстве-времени как о едином четырехмерном многообразии. Так представляют себе физики, конкретно применяющие теорию относительности, ее реальное содержание. При этом понятие относительности приобретает лишь смысл возможной множественности пространственно-временных изображений явлений при абсолютности содержания, т.е. законов природы. Постулаты Эйнштейна. Преобразования Лоренца, отражающие свойства пространства-времени, были выведены Эйнштейном, исходя из 2 постулатов: принципа относительности и принципа постоянства скорости света. 1. Законы, по которым изменяются состояния физических систем, не зависят от того, к которой из двух координатных систем, находящихся относительно друг друга в равномерном поступательном движении, эти изменения состояния относятся.
2. Каждый луч света движется в “покоящейся” системе координат с определенной скоростью
Значение этих постулатов для дальнейшего развития теории пространства-времени состояло в том, что их принятие прежде всего означало отказ от старых представлений о пространстве и времени, как о многообразиях, не связанных органически друг с другом. Принцип относительности сам по себе не представлял чего-либо абсолютно нового, т.к. он содержался и в Ньютоновской физике, построенной на базе классической механики. Принцип постоянства скорости света также не был чем-то абсолютно неприемлемым с точки зрения ньютоновских представлений о пространстве и времени. Однако эти два принципа, взятые вместе привели к противоречию с конкретными представлениями о пространстве и времени, связанные с механикой Ньютона. Это противоречие можно проиллюстрировать следующим парадоксом.
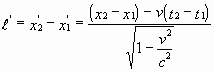
Пусть в системе отсчета
радиуса
Таким образом, одновременность пространственно разобщенных событий перестает быть чем-то абсолютным, как это принято считать в повседневном макроскопическом опыте, а становится зависящей от выбора системы отсчета и расстояния между точками, в которых происходит события. Эта относительность одновременности пространственно разобщенных событий свидетельствует о том, что пространство и время тесно связаны друг с другом, т.к. при переходе о одной системе отсчета к другой, физически эквивалентной, промежутки времени между событиями становятся зависящими от расстояний (нулевой промежуток становится конечным и наоборот). Итак, постулаты Эйнштейна помогли нам прийти к новому фундаментальному положению в физической теории пространства и времени, положению о тесной взаимосвязи пространства и времени и об их нераздельности, в этом и состоит главное значение постулатов Эйнштейна. Основное содержание теории относительности играет постулат о постоянстве скорости света. Основным аргументов в пользу этого является та роль, которую отводил Эйнштейн световым сигналам, с помощью которых устанавливается одновременность пространственно разобщенных событий. Световой сигнал, распространяющийся всегда только со скоростью света, приравнивается, таким образом, к некоторому инструменту, устанавливающему связь между временными отношениями в различных системах отсчета, без которого якобы понятия одновременности разобщенных событий и времени теряют смысл. Необходимость такого истолкования содержания теории относительности легко доказывается, если обратиться к одному из возможных выводов преобразований Лоренца, опирающемуся на постулат относительности и вместо постулата о постоянстве скорости света использующему лишь допущение о зависимости массы тела от скорости. Вывод преобразований Лоренца без постулата о постоянстве скорости света. Для вывода преобразований Лоренца будем опираться лишь на “естественные” допущения о свойствах пространства и времени, содержавшиеся еще в классической физике, опиравшейся на общие представления, связанные с классической механикой: 1. Изотропность пространства , т.е. все пространственные направления равноправны. 2. Однородность пространства и времени , т.е. независимость свойств пространства и времени от выбора начальных точек отсчета (начала координат и начала отсчета времени). 3. Принцип относительности , т.е. полная равноправность всех инерциальных систем отсчета.
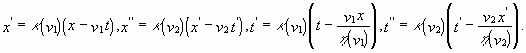
Различные системы отсчета по-разному изображают одно и то же пространство и время как всеобщие формы существования материи. Каждое из этих изображений обладает одинаковыми свойствами. Следовательно, формулы преобразования, выражающие связь между координатами и временем в одной - “неподвижной” системе
1. Вследствие однородности пространства и времени преобразования должны быть линейными.
Действительно, если бы производные функций
Аналогично можно доказать, что производные
2. Выберем "движущуюся" систему
3. Изотропность предполагает также симметричность пространства. В силу же симметрии ничто не должно измениться в формулах преобразования, если изменить знаки
4. В силу принципа
относительности
обе системы, "движущаяся" и "неподвижная", абсолютно эквивалентны, и поэтому обратные преобразования от системы
Следовательно, извлекая квадратный корень и замечая, что знак (-) так же, как и для
5. Для определения вида
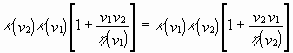
Воспользуемся этим требованием групповости преобразований. Пусть
Тогда согласно (g)
Выражая
Согласно сформулированному выше требованию эти же преобразования должны записываться в виде (g), т.е.
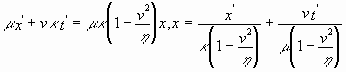
6. Итак, в преобразованиях (h) h является константой, имеющей размерность квадрата скорости. Величина и даже знак этой константы не могут быть определены без привлечения каких-либо новых допущений, опирающихся на опытные факты.
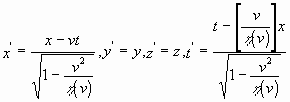
Если положить
Из опыта известно, что при больших скоростях, сравнимых со скоростью света, уравнения механики имеют вид (i), где
Константа
Пуанкаре назвал эти преобразования координат и времени преобразованиями Лоренца .
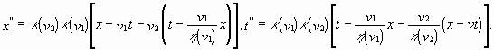
В силу обратимости обратные преобразования Лоренца, очевидно, должны быть записаны в виде
Примененные нами соображения размерности для выбора константы h не вполне, однако, однозначны, т.к. вместо соотношения (j) с таким же правом можно было бы выбрать
Оказывается, однако, что совпадающие с опытом уравнения механики (i) могут быть получены лишь как следствия преобразований Лоренца и не могут быть совмещены с преобразованиями, получающимися из допущения (k). Действительно, известно, что уравнения механики, опирающимися на преобразования Лоренца, являются уравнения Минковского, согласно которым масса увеличивается со скоростью по формуле
Итак, не обращаясь к постулату о постоянстве скорости света в пустоте, не ссылаясь на электродинамику и не используя свойств световых сигналов для определения одновременности, мы вывели преобразования Лоренца, используя лишь представление об однородности и изотропности пространства и времени, принцип относительности и формулу зависимости массы от скорости.
Обычно, следуя пути, намеченному еще в первой работе Эйнштейна, вместо формулы зависимости массы от скорости используют постулат о постоянстве скорости света в пустоте. Согласно этому постулату при переходе от системы
Мы применили иной вывод, не использующий постулат о постоянстве скорости света, с тем, чтобы показать, что преобразования Лоренца могут быть получены независимо от способа сигнализации, избранного для синхронизации часов, измеряющих время. Физики могли бы вообще ничего не знать о скорости света и о законах электродинамики, однако могли бы получить преобразования Лоренца, анализирую факт зависимости массы от скорости и исходя из механического принципа относительности. Таким образом, преобразования Лоренца выражают общие свойства пространства и времени для любых физических процессов. Эти преобразования, как это выяснилось в процессе доказательства, составляют непрерывную группу, называемую группой Лоренца . В этом факте, в наиболее общем виде отображаются свойства пространства и времени, раскрытые теорией относительности. Изображение преобразований Лоренца на плоскости Минковского. Первыми наиболее поражающими следствиями преобразований Лоренца являются: сокращение движущихся масштабов в направлении движения и замедление хода движущихся часов. С точки зрения повседневных представлений о пространстве и времени эти следствия кажутся парадоксальными. Исчерпывающее, но всегда кажущееся несколько формальным, разъяснение этих кинематических явлений дается на плоскости x, ct, если в соответствии с правилами четырехмерной геометрии Минковского изобразить на ней сетку координат "неподвижной" и сетку координат "движущейся" системы.
Преобразования Лоренца оставляют инвариантным (неизменным) интервал
Совмещая первое событие с моментом t=0 и началом отсчета системы
Иногда кажется, что качественное различие между четырехмерной евклидовой геометрией и четырехмерной
псевдоевклидовой
геометрией стирается, если, воспользовавшись предложением Минковского, считать время пропорциональным некоторой мнимой четвертой координате, т.е. положить
В этом случае квадрат интервала запишется как
В силу инвариантности интервала качественное различие связи между событиями не зависит от выбора системы отсчета, и действительный, или
времениподобный
, интервал (
Все эти особенности псевдоевклидовой геометрии могут наглядно проиллюстрированы на плоскости Минковского
Отрезками 0a и 0b на этой плоскости изображены соответственно единичные масштабы
временной оси
Таким образом, точка начала координат и все точки, лежащие на гиперболе, выходящей из точки a, разделены единичным времениподобным интервалом. Точки же, лежащие на гиперболе, выходящей из точки b, отделены от начала координат пространственноподобным интервалом.
Пунктирная линия, выходящая параллельно оси
На этой же плоскости нанесены линии
и соответственно изображающие точки с координатами
Из рисунка видно, что переход от системы S к системе
Но преобразования (p) тождественны преобразованиям перехода от декартовых координат к косоугольным. При этих преобразованиях времениподобные векторы, т.е. векторы, направленные из начала отсчета в точки, лежащие выше линии OO', в любой системе координат также останутся времениподобными, т.к. концы векторов лежат на гиперболах. Следовательно, и пространственноподобные векторы во всех системах координат останутся пространственноподобными.
На плоскости Минковского видно, что "пространственная" проекция единичного вектора
Аналогично дело обстоит и с "временными" проекциями на оси
Сокращение движущихся масштабов. Если длина неподвижного масштаба может быть измерена путем прикладывания к нему эталонных масштабов, без использования каких-либо часов, то длину движущегося масштаба невозможно измерить из неподвижной системы отсчета без использования часов или сигналов, отмечающих одновременность прохождения концов измеряемого масштаба относительно точек эталона. Таким образом, под длиной движущегося масштаба надо понимать расстояние между его концами, измеренное при помощи неподвижного эталона в один и тот же момент времени для каждого конца. Одновременность измерения положений концов является существенно необходимым условием опыта. Легко видеть, что нарушение этого условия может привести к тому, что измеренная длина может оказаться любой, в том числе отрицательной или равной нулю.
Парадоксальность этого вывода состоит в том, что в силу принципа относительности точно такая же формула должна получиться для длины масштаба, находящегося в системе S и измеряемого из системы
Противоречие, однако, снимается, если учесть, что относительность предполагает совершенно симметричное измерение всей системы измерения, т.е. переход от предыдущего рисунка к следующему рисунку:
Следовательно, укорочение или удлинение измеряемых масштабов зависит лишь от того, в какой системе отсчета производятся одновременные измерения положений концов масштабов, ибо события, одновременные в одной системе отсчета, неодновременны в другой. Замедление движущихся часов. Замедление движущихся часов может быть обнаружено в следующем опыте:
Путь за время движения от точки
Эта формула означает, что промежуток времени, отмеченный неподвижными часами, оказывается большим, чем промежуток времени, отмеренный движущимися часами. Но это означает, что движущиеся часы отстают от неподвижных, т.е. их ход замедляется. Эта формула также обратима, как и соответствующая формула для масштабов. Однако написав обратную формулу в виде
Парадокс часов.
Более поразительным и вызывающим большое число споров и недоразумений является так называемый "парадокс часов". Путь часы А находятся в точке 1 в неподвижной инерциальной системе отсчета S , а одинаковые с ними часы В, находившиеся в начальный момент также в точке 1, движутся к точке 2 со скоростью n . Затем, пройдя путь
Особенность этого кинетического следствия преобразований Лоренца состоит в том, что здесь отставание хода движущихся часов является вполне
реальным эффектом
, а не результатом избранной процедуры измерения, как это имело место выше. Реально должны отставать все процессы, связанные с системой
Парадоксальным представляется здесь то, что один из часов
реально
отстают от других. Ведь это кажется противоречащим самому принципу относительности, т.к. согласно последнему любую из систем S и
Ошибочность последнего рассуждения состоит в том, что системы S и
Однако и это совершенно правильное объяснение представляется весьма поразительным. Ведь в течении большого промежутка времени обе системы движутся друг относительно друга прямолинейно и равномерно. Поэтому, с точки зрения системы
Точки на ломаной 0ab отмечают равные единичные промежутки времени, измеряемые часами В, находящимися в системе
Этот перескок времени не является, однако, реально наблюдаемым эффектом. Действительно, если из системы S регулярно, через единичные интервалы посылать в систему
Список используемой литературы. 1. "Принцип относительности"; Лоренц, Пуанкаре, Эйнштейн, Минковский; ОНТИ., 1935 г. 2. Полное собрание трудов; Л. И. Мандельштам. 3. "Парадоксы теории относительности"; Я. П. Терлецкий; Москва., 1965 г. 4. "Физика пространства-времени"; Э. Ф. Тейлор; Москва., 1963 г. 5. "Общая теория относительности"; Н. В. Мицкевич; Москва., 1927 г. Поделитесь этой записью или добавьте в закладки |
Полезные публикации |
,
(c)
Если мы также учтем требование изотропности пространства, то линейные преобразования для системы отсчета
(e), причем все входящие в эти формулы коэффициенты
. (f) Сравнивая эти преобразования с (e), получаем
. Сравнивая это выражение с а), получаем
. Откуда имеем
. Итак преобразования приобретают вид:
(g) или ,подробнее:
,(h) где
(k) Коэффициенты, стоящие при
. Последнее равенство может быть удовлетворено только при
(l).
. Если же в качестве преобразований координат
выбрать
, то соответствующие уравнения Минковского
дадут убывающую со скоростью массу m, что противоречит опыту.
Пусть
, откуда в силу t1=t2 получаем
В этой схеме уже
, откуда в силу
Движущиеся со скоростью n часы, измеряющие время
. Подставляя (s) в это уравнение и замечая, что движущиеся часы все время находятся в одной и той же точки движущейся системы отсчета, т.е. что
.(u)
(t) мы должны подразумевать, что
)
при условии
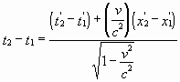
Если время, требуемое на изменение скорости часов В на обратную, достаточно мало по сравнению с временем прямолинейного и равномерного движения от точки 1 до точки 2, то время t , отмеренное часами А, и время
Поскольку расстояние
Отрезок 0b на этом рисунке изображает покоящиеся часы А, ломаная линия 0ab - движущиеся часы В. В точке a действуют силы, ускоряющие систему часов В и изменяющие ее скорость на обратную. Точки, расставленные на оси 0b, разделяют единичные промежутки времени в неподвижной системеS , связанной с часами А.
Главная