Кинематика
1)Перемещением называют: а) линию в пространстве, описываемую точкой при движении б)вектор, соединяющий начальное и конечное положение точки в) длину пути г) вектор, соединяющий начало координат и конечную точку пути 2 Средней скоростью перемещения называют :
а)
3 Тангенциальное ускорение имеет обозначение:
а)
4 Нормальное ускорение имеет обозначение:
а)
5 Полное ускорение при равнопеременном криволинейном движении имеет обозначение:
а)
6 Как взаимно расположены касательная к траектории и ускорение : тангенциальное нормальное а) перпендикулярно под острым углом б) перпендикулярно сонаправленно в) сонаправленно перпендикулярно г) под острым углом перпендикулярно
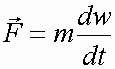
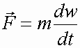
ДИНАМИКА ПОСТУПАТЕЛЬНОГО ДВИЖЕНИЯ 7 Первый закон Ньютона имеет следующую формулировку: а) существуют такие СО ,в которых свободные тела движутся прямолинейно и равномерно б) сила есть произведение массы на ускорение в) силы в природе возникают симметричными парами г) в НИСО свободные тела движутся прямолинейно и равномерно 8 Второй закон Ньютона имеет следующую формулировку: а) существуют такие СО ,в которых свободные тела движутся прямолинейно и равномерно б) сила есть произведение массы на ускорение в) силы в природе возникают симметричными парами г) ускорение ,с которым движется тело, под воздействием силы, прямо пропорционально ускорению и обратно пропорционально массе 9 Третий закон Ньютона имеет следующую формулировку: а) существуют такие СО ,в которых свободные тела движутся прямолинейно и равномерно б) сила есть произведение массы на ускорение в) силы в природе возникают симметричными парами г) два тела взаимодействуют друг на друга с силами, равными по модулю, но противоположными по направлению 10 Основной закон динамики поступательного движения выражается следующим выражением:
а)
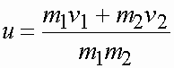
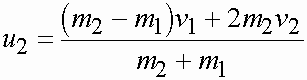
11 Первый закон Кеплера имеет следующую трактовку: а) тела в центральных полях движутся по траекториям конического сечения : парабола, гипербола, эллипс б) радиус-вектор движущегося в центральных поле тела за равные промежутки ометает равные площади в) для двух движущихся в центральных поле тел отношение квадратов времён обращения равно отношению кубов больших полуосей их орбит 12 Второй закон Ньютона имеет следующую трактовку: а) тела в центральных полях движутся по траекториям конического сечения : парабола, гипербола, эллипс б) радиус-вектор движущегося в центральных поле тела за равные промежутки ометает равные площади в) для двух движущихся в центральных поле тел отношение квадратов времён обращения равно отношению кубов больших полуосей их орбит 13 Третий закон Ньютона имеет следующую трактовку: а) тела в центральных полях движутся по траекториям конического сечения : парабола, гипербола, эллипс б) радиус-вектор движущегося в центральных поле тела за равные промежутки ометает равные площади в) для двух движущихся в центральных поле тел отношение квадратов времён обращения равно отношению кубов больших полуосей их орбит 14 После упругого центрального удара тел 1(м,в ) и 2( м1, ) скорости их будут равными:
а)
б)
в)
г)
15 После неупругого центрального удара тел 1(м1,в ) и 2( м1, ) скорости их будут равными:
а)
б)
в)
г)
16 Сила, вызывающая упругую деформацию, зависит от смещения: а)прямо пропорционально б) обратно пропорционально в) экспоненциально г) пропорционально квадрату смещения
ДИНАМИКА ВРАЩАТЕЛЬНОГО ДВИЖЕНИЯ 17 Момент инерции сплошного однородного цилиндра равен:
а)
18 Момент инерции полого однородного цилиндра равен:
а)
19 Момент инерции однородного шара равен: б) обратно пропорционально в) экспоненциально г) пропорционально квадрату смещения
а)
20 Момент инерции однородного стержня длины R относительно относително центра масс равен :
а)
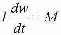
21 Основной закон динамики вращательного движения выражается уравнением:
а)
ДИНАМИКА ЖИДКОСТЕЙ И ГАЗОВ 22 Уравнение Бернулли имеет следующий вид :
а)
б)
в)
г)
23 Формула Стокса имеет следующий вид
а)
б)
в)
г)
24 Формула Пуазейля имеет следующий вид :
а)
б)
в)
г)
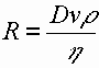
25 Число Рейнольдса равно :
а)
б)
в)
г)
Поделитесь этой записью или добавьте в закладки |
Полезные публикации |
б)
в)
г)
г)
г)
г)
б)
В)
Г)
б)
В)
Г)
б)
В)
Г)
Главная