Ответы на билеты по физике1. Механическое движение. Материальная точка. Механическим движением тела называется изменение его положения в пространстве относительно других тел с течением времени. Изучает движение тел механика. Движение абсолютно твердого тела (не деформирующегося при движении и взаимодействии), при котором все его точки в данный момент времени движутся одинаково, называется поступательным движением, для его описания необходимо и достаточно описать движение одной точки тела. Движение, при котором траектории всех точек тела являются окружностями с центром на одной прямой и все плоскости окружностей перпендикулярны этой прямой, называется вращательным движением. Тело, формой и размерами которого в данных условиях можно пренебречь, называется материальной точкой. Это пренебре
жение допустимо сделать тогда, когда размеры тела малы по сравнению с расстоянием, которое оно проходит или расстоянием данного тела до других тел. Чтобы описать движение тела, нужно знать его координаты в любой момент времени. В этом и залючается основная задача механики.
2. Относительность движения. Система отсчета. Единицы измерения. Для определения координат материальной точки необходимо выбрать тело отсчета и связать с ним систему координат и задать начало отсчета времени. Система координат и указание начала отсчета времени образуют систему отсчета, относительно которой рассматривается движение тела. Система должна двигаться с постойнной скоростью (или покоиться, что вообще говоря одно и то же). Траектория движения тела, пройденный путь и перемещение – зависят от выбора системы отсчета, т.е. механическое движение относительно. Единицей измерения длины является метр, равный расстоянию, проходимому свету в вакууме за секунды. Секунда – единица измерения времени, равна периодам излучения атома цезия-133.
3. Траектория. Путь и перемещение. Мгновенная скорость.
Траекторией тела называется линия, описываемая в пространстве движущейся материальной точкой. Путь – длина участка траектории от начального до конечного перемещения материальной точки. Радиус-вектор
4. Равномерное прямолинейное движение. Графики зависимости кинематических величин от времени в равномерном движении. Сложение скоростей.
Движение с постоянной по модулю и направлению скоростью называется равномерным прямолинейным движением. При равномерном прямолинейном движении тело за любые равные промежутки времени проходит одинаковые расстояния. Если скорость постоянна, то пройденный путь вычисляется как . Классический закон сложения скоростей формулируется следующим образом: скорость движения материальной точки по отношению к системе отсчета, принимаемой за неподвижную, равна векторной сумме скоростей движения точки в подвижной системе и скорости движения подвижной системы относительно неподвижной.
5. Ускорение. Равноускоренное прямолинейное движение. Графики зависимости кинематических величин от времени в равноускоренном движении. Движение, при котором тело за равные промежутки времени совершает неодинаковые перемещения, называют неравномерным движением. При неравномерном поступательном движении скорость тела изменяется с течением времени. Ускорение (вектор) – физическая величина, характеризующая быстроту изменения скорости по модулю и по направлению. Мгновенное ускорение (вектор) – первая производная скорости по времени. .Равноускоренным называется движение с ускорением, постоянным по модулю и направлению. Скорость при равноускоренном движении вычисляется как . Отсюда формула для пути при равноускоренном движении выводится как
Также справедливы формулы , выводимая из уравнений скорости и пути при равноускоренном движении. 6. Свободное падение тел. Ускорение свободного падения. Падением тела называется его движение в поле силы тяжести (???) . Падение тел в вакууме называется свободным падением. Экспериментально установлено, что при свободном падении тела движутся одинаково независимо от своих физических характеристик. Ускорение, с которым падают на Землю тела в пустоте, называется ускорением свободного падения и обозначается 7. Равномерное движение по окружности. Ускорение при равномерном движении тела по окружности (центростремительное ускорение)
Любое движение на достаточно малом участке траектории возможно приближенно рассматривать как равномерное движение по окружности. В процессе равномерного движения по окружности значение скорости остается постоянным, а направление вектора скорости изменяется. <рисунок>.
Принцип независимости движений рассматривает движение любой точки тела как сумму двух движений – поступательного и вращательного.
8. Первый закон Ньютона. Инерциальная система отсчета. Явление сохранения скорости тела при отсутствии внешних воздействий называется инерцией. Первый закон Ньютона, он же закон инерции, гласит: “существуют такие системы отсчета, относительно которых поступательно движущиеся тела сохраняют свою скорость постоянной, если на них не действуют другие тела”. Системы отсчета, относительно которых тела при отсутствии внешних воздействий движутся прямолинейно и равномерно, называются инерциальными системами отсчета. Системы отсчета, связанные с землей считают инерциальными, при условии пренебрежения вращением земли. 9. Масса. Сила. Второй закон Ньютона. Сложение сил. Центр тяжести.
Причиной изменения скорости тела всегда является его взаимодействие с другими телами. При взаимодействии двух тел всегда изменяются скорости, т.е. приобретаются ускорения. Отношение ускорений двух тел одинаково при любых взаимодействиях. Свойство тела, от которого зависит его ускорение при взаимодействии с другими телами, называется инертностью. Количественной мерой инертности является масса тела. Отношение масс взаимодействующих тел равно обратному отношению модулей ускорений. Второй закон Ньютона устанавливает связь между кинематической характеристикой движения – ускорением, и динамическими характеристиками взаимодействия – силами.
10. Третий закон Ньютона.
При любом взаимодействии двух тел отношение модулей приобретенных ускорений постоянно и равно обратному отношению масс. Т.к. при взаимодействии тел векторы ускорений имеют противоположное направление, можно записать, что
11. Силы упругости. Закон Гука.
Сила, возникающая в результате деформации тела и направленная в сторону, противоположную перемещениям частиц тела при этой деформации, называется силой упругости. Опыты со стержнем показали, что при малых по сравнению с размерами тела деформациях модуль силы упругости прямо пропорционален модулю вектора перемещения свободного конца стержня, что в проекции выглядит как
12. Силы трения, коэффициент трения скольжения. Вязкое трение (???) Сила, возникающая на границе взаимодействия тел при отсутствии относительного движения тел, называется силой трения покоя. Сила трения покоя равна по модулю внешней силе, направленной по касательной к поверхности соприкосновения тел и противоположна ей по направлению. При равномерном движении одного тела по поверхности другого под воздействием внешней силы на тело действует сила, равная по модулю движущей силе и противоположная по направлению. Эта сила называется силой трения скольжения. Вектор силы трения скольжения направлен против вектора скорости, поэтому эта сила всегда приводит к уменьшению относительной скорости тела. Силы трения также, как и сила упругости, имеют электромагнитную природу, и возникают за счет взаимодействия между электрическими зарядами атомов соприкасающихся тел. Экспериментально установлено, что максимальное значение модуля силы трения покоя пропорционально силе давления. Также примерно равны максимальное значение силы трения покоя и сила трения скольжения, как примерно равны и коэффициенты пропорциональности между силами трения и давлением тела на поверхность. 13. Гравитационные силы . Закон всемирного тяготения. Сила тяжести. Вес тела.
Из того, что тела независимо от своей массы падают с одинаковым ускорением, следует, что сила, действующая на них, пропорциональна массе тела. Эта сила притяжения, действующая на все тела со стороны Земли, называется силой тяжести. Сила тяжести действует на любом расстоянии между телами. Все тела притягиваются друг к другу, сила всемирного тяготения прямо пропорциональна произведению масс и обратно пропорциональна квадрату расстояния между ними. Векторы сил всемирного тяготения направлены вдоль прямой, соединяющей центры масс тел.
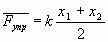
14. Движение тела под действием силы тяжести по вертикали. Движение искусственных спутников. Невесомость. Первая космическая скорость. При бросании тела параллельно земной поверхности дальность полета будет тем большей, чем больше начальная скорость. При больших значениях скорости также необходимо принимать в расчет шарообразность земли, что отражается в изменении направления вектора силы тяжести. При некотором значении скорости тело может двигаться вокруг Земли под действием силы всемирного тяготения. Эту скорость, называемую первой космической, можно определить из уравнения движения тела по окружности . С другой стороны, из второго закона Ньютона и закона всемирного тяготения следует, что . Таким образом, на расстоянии R от центра небесного тела массой М первая космическая скорость равна. При изменении скорости тела меняется форма его орбиты с окружности на эллипс. При достижении второй космической скорости, равной орбита становится параболической. 15. Импульс тела. Закон сохранения импульса. Реактивное движение.
По второму закону Ньютона независимо от того, находилось ли тело в покое или двигалось, изменение его скорости может происходить только при взаимодействии с другими телам. Если на тело массой
m
в течение времени
t
действует сила
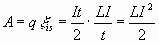
16. Механическая работа. Мощность. Кинетическая и потенциальная энергия.
Работой
А
постоянной силы
17.Законы сохранения энергии в механике.
Потенциальная энергия характеризует взаимодействующие тела, кинетическая – движущиеся. И та, и другая возникают в результате взаимодействия тел. Если несколько тел взаимодействую между собой только силами тяготения и силами упругости, и никакие внешние силы на них не действуют (или же их равнодействующая равна нулю), то при любых взаимодействиях тел работа сил упругости или сил тяготения равна изменению потенциальной энергии, взятой с противоположным знаком. В то же время, по теореме о кинетической энергии (изменение кинетической энергии тела равно работе внешних сил) работа тех же сил равна изменению кинетической энергии.
18. Простые механизмы (наклонная плоскость, рычаг, блок) их применение.
Наклонная плоскость применяется для того, чтобы тело большой массы можно было переместить действием силы, значительно меньшей веса тела. Если угол наклонной плоскости равенa , то для перемещения тела вдоль плоскости необходимо применить силу, равную
Рычаг находится в равновесии, если момент сил, вращающий его по часовой стрелке равен моменту ил, вращающих рычаг против часовой стрелки. Если направления векторов сил, приложенных к рычагу, перпендикулярны кратчайшим прямым, соединяющим точки приложения сил и ось вращения, то условия равновесия принимает вид
Блок позволяет изменять направление действия силы. Плечи сил, приложенных к разным точкам неподвижного блока, одинаковы, и поэтому выигрыша в силе неподвижный блок не дает. При подъеме груза с помощью подвижного блока получается выигрыш в силе в два раза, т.к. плечо силы тяжести вдвое меньше плеча силы натяжения троса. Но при вытягивании троса на длину l груз поднимается на высоту l/2 , следовательно, неподвижный блок также не дает выигрыша в работе.
19. Давление. Закон Паскаля для жидкостей и газов. Физическая величина, равная отношению модуля силы, действующей перпендикулярно поверхности к площади это поверхности, называется давлением. Единица давления – паскаль, равный давлению, производимому силой в 1 ньютон на площадь в 1 квадратный метр. Все жидкости и газы передают производимое на них давление во все стороны.
20. Сообщающиеся сосуды. Гидравлический пресс. Атмосферное давление. Уравнение Бернулли.
В цилиндрическом сосуде сила давления на дно сосуда равна весу столба жидкости. Давление на дно сосуда равно
При стационарном движении несжимаемой жидкости справедливо уравнение неразрывности
21. Опыт Торричелли. Изменение атмосферного давления с высотой. Под действием силы тяжести верхние слои атмосферы давят на нижележащие. Это давление согласно закону Паскаля передается по всем направлениям. Наибольшее значение это давление имеет у поверхности Земли, и обусловлено весом столба воздуха от поверхности до границы атмосферы. При увеличении высоты уменьшается масса слоев атмосферы, давящих на поверхность, следовательно, атмосферное давление с высотой понижается. На уровне моря атмосферное давление равно 101 кПа. Такое давление оказывает столб ртути высотой 760 мм. Если в жидкую ртуть опустить трубку, в которой создан вакуум, то под действием атмосферного давления ртуть поднимется в ней на такую высоту, при которой давление столба жидкости станет равным внешнему атмосферному давлению на открытую поверхность ртути. При изменении атмосферного давления высота столба жидкости в трубке также изменится. 22. Архимедова сила дня жидкостей и газов. Условия плавания тел.
Зависимость давления в жидкости и газе от глубины приводит к возникновению выталкивающей силы, действующей на любое тело, погруженное в жидкость или газ. Эту силу называют архимедовой силой. Если в жидкость погрузить тело, то давления на боковые стенки сосуда уравновешиваются друг другом, а равнодействующая давлений снизу и сверху является архимедовой силой.
23. Основные положения молекулярно-кинетической теории и их опытное обоснование. Броуновское движение. Масса и размер молекул.
Молекулярно-кинетической теорией называется учение о строении и свойствах вещества, использующее представление о существовании атомов и молекул как наименьших частиц вещества. Основные положения МКТ: вещество состоит из атомов и молекул, эти частиц хаотически движется, частицы взаимодействую друг с другом. Движение атомов и молекул и их взаимодействие подчиняется законам механики. Во взаимодействии молекул при их сближении сначала преобладают силы притяжения. На некотором расстоянии между ними возникают силы отталкивания, превосходящие по модулю силы притяжения. Молекулы и атомы совершают беспорядочные колебания относительно положений, где силы притяжения и отталкивания уравновешивают друг друга. В жидкости молекулы не только колеблются, но и перескакивают из одного положения равновесия в другое (текучесть). В газах расстояния между атомами значительно больше размеров молекул (сжимаемость и расширяемость). Р.Броун в начале 19 век обнаружил, что в жидкости беспорядочно движутся твердые частицы. Это явление могла объяснить только МКТ,. Беспорядочно движущиеся молекулы жидкости или газа сталкиваются с твердой частицей и изменяют направление и модуль скорости ее движения (при этом, разумеется, изменяя и свое направление и скорость). Чем меньше размеры частицы тем более заметными становятся изменение импульса. Любое вещество состоит из частиц, поэтому количество вещества принято считать пропорциональным количеству частиц. Единица количества вещества называется моль. Моль равен количеству вещества, содержащей столько атомов, сколько содержится их в 0.012 кг углерода
12
С. Отношение числа молекул к количеству вещества называют постоянной Авогадро:
24. Идеальный газ. Основное уравнение молекулярно-кинетической теории идеального газа.
Для объяснения свойств вещества в газообразном состоянии используется модель идеального газа. В этой модели предполагается следующее: молекулы газа обладают пренебрежимо малыми размера по сравнению с объемом сосуда, между молекулами не действуют силы притяжения, при соударении друг с другом и стенками сосуда действуют силы отталкивания. Качественное объяснение явления давления газа заключается в том, что молекулы идеального газа при столкновениях со стенками сосуда взаимодействуют с ними как упругие тела. При столкновении молекулы со стенкой сосуда проекция вектора скорости на ось, перпендикулярную стенке, меняется на противоположную. Поэтому при столкновении проекция скорости меняется от
–mv
x
до
mv
x
, и изменение импульса равно
25. Температура, ее измерение. Абсолютная температурная шкала. Скорость молекул газа .
Основное уравнение МКТ для идеального газа устанавливает связь между микро- и макроскопическими параметрами. При контакте двух тел изменяются их макроскопические параметры. Когда это изменение прекратилось, говорят, что наступило тепловое равновесие. Физический параметр, одинаковый во всех частях системы тел, находящихся в состоянии теплового равновесия, называют температурой тела. Опыты показали, что для любого газа, находящегося в состоянии теплового равновесия, отношение произведения давления на объем к количеству молекул есть одинаково
26. Уравнение состояния идеального газа (уравнение Менделеева-Клапейрона). Изотермический, изохорный и изобарный процессы.
Используя зависимость давления от концентрации и температуры, можно найти связь между макроскопическими параметрами газа – объемом, давлением и температурой.
Изотермическим процессом называется процесс, протекающий при постоянной температуре. Из уравнения состояния идеального газа следует, что при постоянной температуре, массе и составе газа произведение давления на объем должно оставаться постоянным. Графиком изотермы (кривой изотермического процесса) является гипербола. Уравнение
Изохорным процессом называется процесс, протекающий при неизменном объеме, массе и составе газа. При этих условиях
Изобарным процессом называется процесс, протекающий при неизменном давлении, массе и составе газа. Аналогичным образом как и для изохорного процесса можно получить уравнение для изобарного процесса
27. Внутренняя энергия. Работа в термодинамике.
Если потенциальная энергия взаимодействия молекул равна нулю, то внутренняя энергия равна сумме кинетических энергий движения всех молекул газа
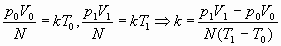
28. Количество теплоты. Удельная теплоемкость вещества. Закон сохранения энергии в тепловых процессах (первый закон термодинамики).
Процесс передачи теплоты от одного тела к другому без совершения работы называют теплообменом. Энергия, переданная телу в результате теплообмена, называется количеством теплоты. Если процесс теплопередачи не сопровождается работой, то на основании первого закона термодинамики
При осуществлении теплообмена между двумя телами в условиях равенства нулю работы внешних сил и в тепловой изоляции от других тел, по закону сохранения энергии
29. Применение первого закона термодинамики к изопроцессам. Адиабатный процесс. Необратимость тепловых процессов.
Одним из основных процессов, совершающих работу в большинстве машин, является процесс расширения газа с совершением работы. Если при изобарном расширении газа от объема
V
1
до объема
V
2
перемещение поршня цилиндра составило
l
, то работа
A
совершенная газом равна
Процессы теплопередачи самопроизвольно осуществляются только в одном направлении. Всегда передача тепла происходит к более холодному телу. Второй закон термодинамики гласит, что неосуществим термодинамический процесс, в результате которого происходила бы передача тепла от одного тела к другому, более горячему, без каких-либо других изменений. Этот закон исключает создание вечного двигателя второго рода. 30. Принцип действия тепловых двигателей. КПД теплового двигателя.
Обычно в тепловых машинах работа совершается расширяющимся газом. Газ, совершающий работу при расширении, называется рабочим телом. Расширение газа происходит в результате повышения его температуры и давления при нагревании. Устройство, от которого рабочее тело получает количество теплоты
Q
называется нагревателем. Устройство, которому машина отдает тепло после совершения рабочего хода, называется холодильником. Сначала изохорически растет давление, изобарически расширяется, изохорически охлаждается, изобарически сжимается. <рисунок с подъемником>. В результате совершения рабочего цикла газ возвращается в начальное состояние, его внутренняя энергия принимает исходное значение. Это значит, что
31. Испарение и конденсация. Насыщенные и ненасыщенные пары. Влажность воздуха.
Неравномерное распределение кинетической энергии теплового движения приводит к тому. Что при любой температуре кинетическая энергия некоторой части молекул может превысить потенциальную энергию связи с остальными. Испарением называется процесс, при котором с поверхности жидкости или твердого тела вылетают молекулы. Испарение сопровождается охлаждением, т.к. более быстрые молекулы покидают жидкость. Испарение жидкости в закрытом сосуда при неизменной температуре приводит к увеличению концентрации молекул в газообразном состоянии. Через некоторое время наступает равновесие между количеством испаряющихся молекул и возвращающихся в жидкость. Газообразное вещество, находящееся в динамическом равновесии со своей жидкостью, называется насыщенным паром. Пар, находящийся при давлении ниже давления насыщенного пара, называется ненасыщенным. Давление насыщенного пара не зависит при постоянной температуре от объема (из
32. Кристаллические и аморфные тела. Механические свойства твердых тел. Упругие деформации.
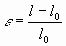
Аморфными называются тела, физические свойства которых одинаковы по всем направлениям (изотропные тела). Изотропность физических свойств объясняется хаотичностью расположения молекул. Твердые тела, в которых молекулы упорядочены, называются кристаллами. Физические свойства кристаллических тел неодинаковы в различных направлениях (анизотропные тела). Анизотропия свойств кристаллов объясняется тем, что при упорядоченной структуре силы взаимодействия неодинаковы по различным направлениям. Внешнее механическое воздействие на тело вызывает смещение атомов из положения равновесия, что приводит к изменению формы и объема тела – деформации. Деформацию можно охарактеризовать абсолютным удлинением, равным разности длин до и после деформации
Закон Гука выполняется только при небольших деформациях. Максимальное напряжение, при котором он еще выполняется, называется пределом пропорциональности. За этим пределом напряжение перестает расти пропорционально. До некоторого уровня напряжение деформированное тело восстановит свои размеры после снятия нагрузки. Эта точка называется пределом упругости тела. При превышении предела упругости начинается пластическая деформация, при которой тело не восстанавливает свою прежнюю форму. В области пластической деформации напряжение почти не увеличивается. Это явление называется текучестью материала. За пределом текучести напряжение повышается до точки, называемой пределом прочности, после которой напряжение уменьшается вплоть до разрушения тела. 33. Свойства жидкостей. Поверхностное натяжение. Капиллярные явления.
Возможность свободного перемещения молекул в жидкости обуславливает текучесть жидкости. Тело в жидком состоянии не имеет постоянной формы. Форма жидкости определяется формой сосуда и силами поверхностного натяжения. Внутри жидкости силы притяжения молекул компенсируются, а у поверхности – нет. Любая молекула, находящаяся у поверхности, притягивается молекулами внутри жидкости. Под действием этих сил молекулы в поверхность втягиваются внутрь до тех пор, пока свободная поверхность не станет минимальной из всех возможных. Т.к. минимальную поверхность при данном объеме имеет шар, то при малом действии других сил поверхность принимает форму сферического сегмента. Поверхность жидкости у края сосуда называется мениском. Явление смачивания характеризуется краевым углом между поверхностью и мениском в точке пересечения. Величина силы поверхностного натяжения на участке длиной D
l
равна
34. Электрический заряд. Взаимодействие заряженных тел. Закон Кулона. Закон сохранения электрического заряда.
Ни механика, ни МКТ не в состоянии объяснить природу сил, связывающих атомы. Законы взаимодействия атомов и молекул можно объяснить на основе представления об электрических зарядах. <Опыт с натиранием ручки и притяжением бумажки> Взаимодействие тел, обнаруживаемое в этом опыте называется электромагнитным, и обуславливается электрическими зарядами. Способность зарядов притягиваться и отталкиваться объясняется предположением о существовании двух видов зарядов – положительному и отрицательному. Тела, заряженные одинаковым зарядом, отталкиваются, разным – притягиваются. Единицей заряда является кулон – заряд, проходящий через поперечное сечение проводника за 1 секунду при силе тока в 1 ампер. В замкнутой системе, в которую не входят извне электрические заряды и из которого не выходят электрические заряды при любых взаимодействиях алгебраическая сумма зарядов всех тел постоянна. Основной закон электростатики, он же закон Кулона, гласит, что модуль силы взаимодействия между двумя зарядами прямо пропорционален произведению модулей зарядов и обратно пропорционален квадрату расстояния между ними
35. Электрическое поле. Напряженность электрического поля. Принцип суперпозиции электрических полей.
Вокруг каждого заряда на основании теории близкодействия существует электрическое поле. Электрическое поле – материальный объект, постоянно существует в пространстве и способно действовать на другие заряды. Электрическое поле распространяется в пространстве со скоростью света. Физическая величина, равная отношению силы, с которой электрическое поле действует на пробный заряд (точечный положительный малый заряд, не влияющий на конфигурацию поля), к значению этого заряда, называется напряженностью электрического поля
36. Работа электростатического поля при перемещении заряда. Разность потенциалов.
При перемещении заряда электрическим полем на расстояние
Точно так же, как тело массой
m
в поле силы тяжести обладает потенциально энергией, пропорциональной массе тела, электрический заряд в электростатическом поле обладает потенциальной энергией
W
p
, пропорциональной заряду. Работа сил электростатического поля равна изменению потенциальной энергии заряда, взятому с противоположным знаком. В одной точке электростатического поля разные заряды могут обладать различной потенциальной энергией. Но отношение потенциальной энергии к заряду для данной точки есть величина постоянная. Эта физическая величина называется потенциалом электрического поля
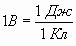
37. Напряжение. Электроемкость. Конденсаторы.
Отношение работы, совершаемой любым электрическим полем при перемещении положительного заряда из одной точки поля в другую, к значению заряда называется напряжением между этими точкам
Конденсатор – система из двух проводников, разделенных слоем диэлектрика, толщина которого мала по сравнению с размерами проводников. Между пластинами напряженность поля равна удвоенной напряженности каждой из пластин, вне пластин она равна нулю. Физическая величина, равная отношению заряда одной из пластин к напряжению между обкладками называется электроемкостью конденсатора
38. Диэлектрическая проницаемость . Энергия электрического поля.
Диэлектрическая проницаемость это физическая величина, характеризующая отношение модуля напряженности электрического поля в вакууме к модулю электрического поля в однородном диэлектрике. Работа электрического поля равна
39. Электрический ток. Сила тока. Условия существования электрического тока.
Электрическим током называется упорядоченное движение электрических зарядов. За направление тока принято движение положительных зарядов. Электрические заряды могут упорядоченно двигаться под действием электрического поля. Поэтому достаточным условием существования тока является наличие поля и свободных носителей заряда. Электрическое поле может быть создано двумя соединенными разноименно заряженными телами. Отношение заряда D
q
, переносимого через поперечное сечение проводника за интервал времени D
t
к этому интервалу называется силой тока
40. Закон Ома для участка цепи. Сопротивление проводников. Зависимость сопротивления проводников от температуры. Сверхпроводимость. Последовательное и параллельное соединение проводников.
Отношение напряжения между концами участка электрической цепи к силе тока есть величина постоянная, и называется сопротивлением
Законом Ома для участка цепи называют уравнение
41. Работа и мощность тока. Электродвижущая сила. Закон Ома для полной цепи.
Работу сил электрического поля, создающего электрический ток, называют работой тока. Работа
А
тока на участке с сопротивлением
R
за время D
t
равна
В электрической цепи работа совершается не только на внешнем участке, но и в батарее. Электрическое сопротивление источника тока называется внутренним сопротивлением
r
. На внутреннем участке цепи выделяется количество теплоты, равное
42. Полупроводники. Электропроводимость полупроводников и ее зависимость от температуры. Собственная и примесная проводимость полупроводников. Многие вещества не проводят ток так хорошо, как металлы, но в то же время не являются диэлектриками. Одним из отличий полупроводников – то, что при нагревании или освещении их удельное сопротивление не увеличивается, а уменьшается. Но главным их практически применимым свойством оказалась односторонняя проводимость. Вследствие неравномерного распределения энергии теплового движения в кристалле полупроводника некоторые атомы ионизируются. Освободившиеся электроны не могут быть захвачены окружающими атомами, т.к. их валентные связи насыщены. Эти свободные электроны могут перемещаться в металле, создавая электронный ток проводимости. В то же время, атом, с оболочки которого вырвался электрон, становится ионом. Этот ион нейтрализуется за счет захвата атома соседа. В результате такого хаотического перемещения возникает перемещение места с недостающим ионом, что внешне видно как перемещение положительного заряда. Это называется дырочным током проводимости. В идеальном полупроводниковом кристалле ток создается перемещением равного количества свободных электронов и дырок. Такой тип проводимости называется собственной проводимостью. При понижении температуры количество свободных электронов, пропорциональное средней энергии атомов, падает и полупроводник становится похож на диэлектрик. В полупроводник для улучшения проводимости иногда добавляются примеси, которые бывают донорные (увеличивают число электронов без увеличения числа дырок) и акцепторные (увеличивают число дырок без увеличения числа электронов). Полупроводники, где количество электронов превышает количество дырок, называются электронными полупроводниками, или полупроводниками n-типа. Полупроводники, где количество дырок превышает количество электронов, называются дырочными полупроводниками, или полупроводниками р-типа. 43. Полупроводниковый диод. Транзистор. Полупроводниковый диод состоит из p-n перехода, т.е. из двух соединенных полупроводников разного типа проводимости. При соединении происходит диффузия электронов в р -полупроводник. Это приводит к появлению в электронном полупроводнике нескомпенсированных положительных ионов донорной примеси, а в дырочном – отрицательных ионов акцепторной примеси, захвативших продиффундировавшие электроны. Между двумя слоями возникает электрическое поле. Если на область с электронной проводимостью подать положительный заряд, а на область с дырочной – отрицательный, то запирающее поле усилится, сила тока резко понизится и почти не зависит от напряжения. Такой способ включения называется запирающим, а ток, текущий в диоде – обратным. Если на область с дырочной проводимостью подать положительный заряд, а на область с электронной – отрицательный, то запирающее поле ослабится, сила тока через диод в этом случае зависит только от сопротивления внешней цепи. Такой способ включения называется пропускным, а ток, текущий в диоде – прямым.
Транзистором, он же полупроводниковый триод, состоит из двух
p-n
(или
n-p
) переходов. Средняя часть кристалла называется база, крайние – эмиттер и коллектор. Транзисторы, в которых база обладает дырочной проводимостью, называют транзисторами
p-n-p
перехода. Для приведения в действие транзистора
p-n-p
-типа на коллектор полают напряжение отрицательной полярности относительно эмиттера. Напряжение на базе при этом может быть как положительным, так и отрицательным. Т.к. дырок больше, то основной ток через переход будет составлять диффузионный поток дырок из
р
-области. Если на эмиттер подать небольшое прямое напряжение, то через него потечет дырочный ток, диффундирующих из
р
-области в
n
-область (базу). Но т.к. база узкая, то дырки пролетают через нее, ускоряясь полем, в коллектор.
(???, что-то тут я недопонял…)
. Транзистор способен распределять ток, тем самым его усиливая. Отношение изменения тока в цепи коллектора к изменению тока в цепи базы при прочих равных условиях величина постоянная, называемая интегральным коэффициентом передачи базового тока
44. Электрический ток в газах. Виды газовых разрядов и их применение. Понятие о плазме.
Газ под воздействием света или тепла может становиться проводником тока. Явление прохождения тока через газ при условии внешнего воздействия, называется несамостоятельным электрическим разрядом. Процесс возникновения ионов газа под воздействием температуры называется термической ионизацией. Возникновение ионов под воздействием светового излучения – фотоионизация. Газ, в котором значительная часть молекул ионизирована, называется плазмой. Температура плазмы достигает нескольких тысяч градусов. Электроны и ионы плазмы способны перемещаться под воздействием электрического поля. При увеличении напряженности поля в зависимости от давления и природы газа в нем возникает разряд без воздействия внешних ионизаторов. Это явление называется самостоятельным электрическим разрядом. Чтобы электрон при ударе об атом ионизовал его, необходимо, чтобы он обладал энергией не меньшей работы ионизации
45. Электрический ток в вакууме. Термоэлектронная эмиссия. Электронно-лучевая трубка. В вакууме нет носителей свободного заряда, поэтому без внешнего влияния ток в вакууме отсутствует. Возникнуть он может в случае, если один из электродов нагреть до высокой температуры. Нагретый катод испускает со своей поверхности электроны. Явление испускания свободных электронов с поверхности нагретых тел называется термоэлектронной эмиссией. Простейшим прибором, использующим термоэлектронную эмиссию, является электровакуумный диод. Анод состоит из металлической пластины, катод – из тонкой свернутой спиралью проволоки. Вокруг катода при его нагревании создается электронное облако. Если подключить катод к положительному выводу батареи, а анод – к отрицательному, то поле внутри диода будет смещать электроны к катоду, и тока не будет. Если же подключить наоборот – анод к плюсу, а катод к минусу – то электрическое поле будет перемещать электроны по направлению к аноду. Этим объясняется свойство односторонней проводимости диода. Потоком движущихся от катода к аноду электронов можно управлять с помощью электромагнитного поля. Для этого диод модифицируется, и между анодом и катодом добавляется сетка. Получившийся прибор называется триодом. Если на сетку подать отрицательный потенциал, то поле между сеткой и катодом будет препятствовать движению электрона. Если подать положительный – то поле будет препятствовать движению электронов. Испускаемые катодом электроны можно с помощью электрических полей разогнать до высоких скоростей. Способность электронных пучков отклоняться под действием электромагнитных полей используется в ЭЛТ. 46. Магнитное взаимодействие токов. Магнитное поле. Сила, действующая на проводник с током в магнитном поле. Индукция магнитного поля.
Если через проводники пропускают ток одного направления, то они притягиваются, а если равного – то отталкиваются. Следовательно, между проводниками есть некое взаимодействие, которое нельзя объяснить наличием электрического поля, т.к. в целом проводники электронейтральны. Магнитное поле создается движущимися электрическими зарядами и действует только на движущиеся заряды. Магнитное поле является особым видом материи и непрерывно в пространстве. Прохождение электрического ток по проводнику сопровождается порождением магнитного поля независимо от среды. Магнитное взаимодействие проводников используется для определения величины силы тока. 1 ампер – сила тока, проходящего по двум параллельным проводникам Ґ длины, и малого поперечного сечения, расположенным на расстоянии 1 метра друг от друга, при которой магнитный поток вызывает в низ силу взаимодействия, равную
47. Закон Ампера. Действие магнитного поля на движущийся заряд. Сила Лоренца.
Действие магнитного поля на ток в проводнике говорит о том, что оно действует на движущиеся заряды. Сила тока
I
в проводнике связана с концентрацией
n
свободных заряженных частиц, скоростью
v
их упорядоченного движения и площадью
S
поперечного сечения проводника выражением
48. Магнитные свойства вещества. Ферромагнетики.
Электромагнитное взаимодействие зависит от среды, в которой находятся заряды. Если около большой катушки подвесить маленькую, то она отклонится. Если в большую вставить железный сердечник, то отклонение увеличится. Это изменение показывает, что индукция изменяется при внесении сердечника. Вещества, значительно усиливающие внешнее магнитное поле, называются ферромагнетиками. Физическая величина, показывающая, во сколько раз индуктивность магнитного поля в среде отличается от индуктивности поля в вакууме, называется магнитной проницаемостью
49. Электромагнитная индукция. Магнитный поток. Закон электромагнитной индукции. Правило Ленца.
В замкнутом контуре при изменении магнитного поля возникает электрический ток. Этот ток называется индукционным током. Явление возникновения тока в замкнутом контуре при изменениях магнитного поля, пронизывающего контур, называется электромагнитной индукцией. Появление тока в замкнутом контуре свидетельствует о наличии сторонних сил неэлектростатической природы или о возникновении ЭДС индукции. Количественное описание явления электромагнитной индукции дается на основе установления связи ЭДС индукции и магнитным потоком. Магнитным потоком
Ф
через поверхность называется физическая величина, равная произведению площади поверхности
S
на модуль вектора магнитной индукции
B
и на косинус угла a между ним и нормалью к поверхности
50. Явление самоиндукции. Индуктивность. Энергия магнитного поля.
Электрический ток, проходящий по проводнику, создает вокруг него магнитное поле. Магнитный поток
Ф
через контур пропорционален вектору магнитной индукции
В
, а индукция, в свою очередь, силе тока в проводнике. Следовательно, для магнитного потока можно записать
51. Гармонические колебания. Амплитуда, период, частота и фаза колебаний.
Механическими колебаниями называют движения тел, повторяющиеся точно или приблизительно одинаково через одинаковые промежутки времени. Силы, действующие между телами внутри рассматриваемой системы тел, называют внутренними силами. Силы, действующие на тела системы со стороны других тел, называют внешними силами. Свободными колебаниями называют колебания, возникшие под воздействием внутренних сил, например – маятник на нитке. Колебания под действиями внешних сил – вынужденные колебания, например – поршень в двигателе. Общим признаков всех видов колебаний является повторяемость процесса движения через определенный интервал времени. Гармоническими называются колебания, описываемые уравнением
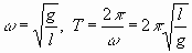
52. Математический маятник. Колебания груза на пружине. Период колебаний математического маятника и груза на пружине.
Тело небольших размеров, подвешенное на нерастяжимой нити, масса которой пренебрежимо мала по сравнению с массой тела, называется математическим маятником. Вертикальное положением является положением равновесия, при котором сила тяжести уравновешивается силой упругости. При малых отклонениях маятника от положения равновесия возникает равнодействующая сила, направленная к положению равновесия, и его колебания являются гармоническими. Период гармонических колебаний математического маятника при небольшом угле размаха равен
При гармонических колебаниях тела, подвешенного на пружине, сила упругости равна по закону Гука
53. Превращение энергии при гармонических колебаниях. Вынужденные колебания. Резонанс. При отклонении математического маятника от положения равновесия его потенциальная энергия увеличивается, т.к. увеличивается расстояние до Земли. При движении к положению равновесия скорость маятника возрастает, и увеличивается кинетическая энергия, за счет уменьшения запаса потенциальной. В положении равновесия кинетическая энергия – максимальная, потенциальная – минимальна. В положении максимального отклонения – наоборот. С пружинным – то же самое, но берется не потенциальная энергия в поле тяготения Земли, а потенциальная энергия пружины. Свободные колебания всегда оказываются затухающими, т.е. с убывающей амплитудой, т.к. энергия тратится на взаимодействие с окружающими телами. Потери энергии при этом равны работе внешних сил за это же время. Амплитуда зависит от частоты изменения силы. Максимальной амплитуды она достигает при частоте колебаний внешней силы, совпадающей с собственной частотой колебаний системы. Явление возрастания амплитуды вынужденных колебаний при описанных условиях называется резонансом. Так как при резонансе внешняя сила совершает за период максимальную положительную работу, то условие резонанса можно определить как условие максимальной передачи энергии системе. 54. Распространение колебаний в упругих средах. Поперечные и продольные волны. Длина волны. Связь длины волны со скоростью ее распространения. Звуковые волны. Скорость звука. Ультразвук
Возбуждение колебаний в одном месте среды вызывает вынужденные колебания соседних частиц. Процесс распространении колебаний в пространстве называется волной. Волны, в которых колебания происходят перпендикулярно направлению распространения, называются поперечными волнами. Волны, в которых колебания происходят вдоль направления распространения волны, называются продольными волнами. Продольные волны могут возникать во всех средах, поперечные – в твердых телах под действием сил упругости при деформации или сил поверхностного натяжения и сил тяжести. Скорость распространения колебаний v в пространстве называется скоростью волны. Расстояние l между ближайшими друг к другу точками, колеблющимися в одинаковых фазах, называется длиной волны. Зависимость длины волны от скорости и периода выражается как
55.Свободные электромагнитные колебания в контуре. Превращение энергии в колебательном контуре. Собственная частота колебаний в контуре.
Электрическим колебательным контуром называется система, состоящая из конденсатора и катушки, соединенных в замкнутую цепь. При подключении катушки к конденсатору в катушке возникает ток и энергия электрического поля превращается в энергию магнитного поля. Конденсатор разряжается не мгновенно, т.к. этому препятствует ЭДС самоиндукции в катушке. Когда же конденсатор разрядится полностью, ЭДС самоиндукции будет препятствовать убыванию тока, и энергия магнитного поля будет переходить в энергию электрического. Ток, возникающий при этом, зарядит конденсатор, причем знак заряда на обкладках будет противоположным первоначальному. После чего процесс повторяется до тех пор, пока вся энергия не будет затрачена на нагревание элементов цепи. Таким образом, энергия магнитного поля в колебательном контуре переходит в энергию электрического и обратно. Для полной энергии системы возможно записать соотношения:
56. Вынужденные электрические колебания. Переменный электрический ток. Генератор переменного тока. Мощность переменного тока.
Переменный ток в электрических цепях является результатом возбуждения в них вынужденных электромагнитных колебаний. Пусть плоский виток имеет площадь
S
и вектор индукции
B
составляет с перпендикуляром к плоскости витка угол j . Магнитный поток
Ф
через площадь витка в данном случае определяется выражением
57. Активное, индуктивное и емкостное сопротивление.
Активным сопротивлением
R
называется физическая величина, равная отношению мощности к квадрату силы тока
Пусть в цепь переменного тока включена катушка. Тогда при изменении силы тока по закону
Пусть в цепи находится конденсатор. При его включение он четверть периода заряжается, потом столько же разряжается, потом то же самое, но со сменой полярности. При изменении напряжения на конденсаторе по гармоническому закону
58. Закон Ома для переменного тока.
Рассмотрим цепь, состоящую из последовательно подключенных резистора, катушки и конденсатора. В любой момент времени приложенное напряжение равно сумме напряжений на каждом элементе. Колебания силы тока во всех элементах происходят по закону
59. Резонанс в электрической цепи.
Емкостное и индуктивное сопротивления зависят от частоты приложенного напряжения. Поэтому при постоянной амплитуде напряжения амплитуда силы тока зависит от частоты. При таком значении частоты, при котором
60. Трансформатор.
Трансформатор представляет собой две катушки с разным количеством витков. При приложении к одной из катушек напряжения в ней возникает ток. Если напряжение изменяется гармоническому закону, то по такому же закону будет изменять и ток. Магнитный поток, проходящий через катушку, равен
61. Электромагнитные волны. Скорость их распространения. Свойства электромагнитных волн.
Любое изменение магнитного потока в контуре вызывает появление в нем индукционного тока. Его появление объясняется возникновением вихревого электрического поля при любом изменении магнитного поля. Вихревое электрическое поде обладает тем же свойством, что и обыкновенное – порождать магнитное поле. Таким образом, однажды начавшийся процесс взаимного порождения магнитного и электрического полей непрерывно продолжается. Электрическое и магнитные поля, составляющие электромагнитные волны, могут существовать и в вакууме, в отличие от других волновых процессов. Из опытов с интерференцией была установлена скорость распространения электромагнитных волн, составившая приблизительно
62. Принципы радиосвязи. Простейший радиоприемник.
Для осуществления радиосвязи необходимо обеспечить возможность излучения электромагнитных волн. Чем больше угол между пластинами конденсатора – тем более свободно ЭМ-волны распространяются в пространстве. В действительности, открытый контур состоит из катушки и длинного провода – антенны. Один конец антенны заземлен, другой – поднят над поверхностью Земли. Т.к. энергия электромагнитных волн пропорциональна четвертой степени частоты, то при колебаниях переменного тока звуковых частот ЭМ-волны практически не возникают. Поэтому используется принцип модуляции – частотной, амплитудной или фазовой. Простейший генератор модулированных колебаний представлен на рисунке. Пусть частота колебаний контура изменяется по закону
Рассмотрим простейший радиоприемник. Он состоит из антенны, колебательного контура с конденсатором переменной емкости, диода-детектора, резистора и телефона. Частота колебательного контура подбирается таким образом, чтобы она совпадала с частотой несущей, при этом амплитуда колебаний на конденсаторе становится максимальной. Это позволяет выделить нужную частоту из всех принимаемых. С контура модулированные колебания высокой частоты поступают на детектор. После прохождения детектора ток каждые полпериода заряжает конденсатор, а следующие полпериода, когда ток не проходит через диод, конденсатор разряжается через резистор. (я правильно понял???). 64. Аналогия между механическими и электрическими колебаниями. Аналогии между механическими и электрическими колебаниями выглядят так:
Законы колебательного движения едины для всех видов колебаний. Например, для пружинного маятника закон сохранения энергии записывается как
65. Шкала электромагнитных излучений. Зависимость свойств электромагнитного излучения от частоты. Применение электромагнитных излучений.
Диапазон электромагнитных вол длиной от 10
-6
м до
65. Прямолинейное распространение света. Скорость света. Законы отражения и преломления света.
Прямая, указывающая направление распространения света, называется световым лучом. На границе двух сред свет может частично отразиться и распространяться в первой среде по новому направлению, а также частично пройти через границу и распространиться во второй среде. Луч падающий, отраженный и перпендикуляр к границе двух сред, восстановленный в точке падения, лежат в одной плоскости. Угол отражения равен углу падения. Этот закон совпадает с законом отражения волн любой природы и доказывается принципом Гюйгенса. При прохождении светом границы раздела двух сред отношение синуса угла падения к синусу угла преломления есть величина постоянная для двух данных сред
66. Линза, построение изображения. Формула линзы.
Линзой называется прозрачное тело, ограниченное двумя сферическими поверхностями. Линза, которая у краев толще, чем в середине, называется вогнутой, которая в середине толще – выпуклой. Прямая, проходящая через центры обеих сферических поверхностей линзы, называется главной оптической осью линзы. Если толщина линзы мала, то можно сказать, что главная оптическая ось пересекается с линзой в одной точке, называемой оптическим центром линзы. Прямая, проходящая через оптический центр, называется побочной оптической осью. Если на линзу направить пучок света, параллельный главной оптической оси, то у выпуклой линзы пучок соберется в точке
F
, называемой главным фокусом. Если такой же пучок направить на вогнутую линзу, то пучок рассеивается так, что лучи как будто бы исходят из точки
F
, называемой мнимым фокусом. Если направить пучок света параллельной побочной оптической оси, то он соберется на побочном фокусе, лежащем в фокальной плоскости, проходящей через главный фокус перпендикулярно главной оптической оси. Из подобия треугольников очевидно, что
66. Когерентность. Интерференция света и ее применение в технике. Дифракция света. Дифракционная решетка.
В явлениях дифракции и интерференции наблюдаются волновые свойства света. Две световые частоты, разность фаз которых равна нулю, называются когерентными друг другу. При интерференции – сложении когерентных волн – возникает устойчивая во времени интерференционная картина максимумов и минимумов освещенности. При разности хода
67. Дисперсия света. Спектр электромагнитного излучения. Спектроскопия. Спектральный анализ. Источники излучений и виды спектров. Узкий параллельный пучок белого света при прохождении сквозь призму разлагается на пучки света разного цвета. Цветная полоса, видимая при этом, называется сплошным спектром. Явление зависимости скорости света от длины волны (частоты) называют дисперсией света. Этот эффект объясняется тем, что белый свет состоит из ЭМ-волн разных длин волны, от которых и зависит показатель преломления. Наибольшее значение он имеет для самой короткой волны – фиолетовой, наименьшее – для красно. В вакууме скорость света независимо от его частоты одинакова. Если источником спектра является разреженный газ, то спектр имеет вид узких линий на черном фоне. Сжатые газы, жидкости и твердые тела испускают сплошной спектр, где цвета плавно переходят друг в друга. Природа возникновения спектра объясняется тем, что каждому элементу присущ свой специфический набор излучаемого спектра. Это свойство позволяет применять спектральный анализ для выявления химического состава вещества. Спектроскопом называется прибор, с помощью которого исследуется спектральный состав света, испускаемого некоторым источником. Разложение производится с помощью дифракционной решетки(лучше) или призмы, для исследования ультрафиолетовой области применяется кварцевая оптика. 68. Фотоэффект и его законы. Кванты света. Уравнение Эйнштейна для фотоэффекта. Применение фотоэффекта в технике.
Явление вырывания электронов из твердых и жидких тел под воздействием света называется внешним фотоэлектрическим эффектом, а вырванные таким образом электроны – фотоэлектронами. Опытным путем установлены законы фотоэффекта – максимальная скорость фотоэлектронов определяется частотой света и не зависит от его интенсивности, для каждого вещества существует своя красная граница фотоэффекта, т.е. такая частота
69. Опыты Резерфорда по рассеиванию альфа-частиц. Ядерная модель атома. Квантовые постулаты Бора.
Первая модель строения атома принадлежит Томсону. Он предположил, что атом это положительно заряженный шар, внутри которого расположены вкрапления отрицательно заряженных электронов. Резерфорд провел опыт по облечению быстрыми альфа-частицами металлической пластинки. При этом наблюдалось, что часть из них немного отклоняются от прямолинейного распространения, а некоторая доля – на углы более 2
0
. Это было объяснено тем, что положительный заряд в атоме содержится не равномерно, а в некотором объеме, значительно меньшем размера атома. Эта центральную часть была названа ядром атома, где сосредоточен положительный заряд и почти вся масса. Радиус атомного ядра имеет размеры порядка 10
-15
м. Также Резерфорд предложил т.н. планетарную модель атома, по которой электроны вращаются вокруг атома как планеты вокруг Солнца. Радиус самой дальней орбиты = радиусу атома. Но эта модель противоречила электродинамике, т.к. ускоренное движение (в т.ч. электронов по окружности) сопровождается излучением ЭМ-волн. Следовательно, электрон постепенно теряет свою энергию и должен упасть на ядро. В действительности ни излучения, ни падения электрона не происходит. Объяснение этому дал Н.Бор, выдвинув два постулата – атомная система может находится только в некоторых определенных состояниях, в которых не происходит излучения света, хотя движение происходит ускоренное, и при переходе из одного состояния в другое происходит или поглощение, или испускание кванта по закону
70. Испускание и поглощение света атомами. Лазер. Атомы могут самопроизвольно испускать кванты света, при этом оно проходит некогерентно (т.к. каждый атом излучает независимо от других) и называется спонтанным. Переход электрона с верхнего уровня на нижний может происходит под влиянием внешнего электромагнитного поля с частотой, равной частоте перехода. Такое излучение называют вынужденным (индуцированным). Т.е. в результате взаимодействия возбужденного атома с фотоном соответствующей частоты высока вероятность появления двух одинаковых фотонов с одинаковым направлением и частотой. Особенностью индуцированного излучения является то, что оно монохроматично и когерентно. Это свойство положено в основу действия лазеров (оптических квантовых генераторов). Для того, чтобы вещество усиливало проходящий через него свет, необходимо, чтобы более половины его электронов находилось в возбужденном состоянии. Такое состояние называется состоянием с инверсной населенностью уровней. В этом случае поглощение фотонов будет происходит реже, чем испускание. Для работы лазера на рубиновом стержне используют т.н. лампу накачки, смысл которой заключается в создании инверсной населенности. При этом если один атом перейдет из метастабильного состояния в основное, то возникнет цепная реакция испускания фотонов. При соответствующей (параболической) форме отражающего зеркала возможно создать луч в одном направлении. Полное высвечивание всех возбужденных атомов происходит за 10 -10 с, поэтому мощность лазера достигает миллиардов ватт. Существуют также лазеры на газовых лампах, достоинством которых является непрерывность излучения. 70. Состав ядра атома. Изотопы. Энергия связи атомных ядер. Ядерные реакции.
Электрический заряд атома ядра
q
равен произведению элементарного электрического заряда
e
на порядковый номер
Z
химического элемента в таблице Менделеева
71. Радиоактивность. Виды радиоактивных излучений и их свойства.
Ядра обладают способностью самопроизвольно распадаться. При этом устойчивыми являются только те ядра, которые обладают минимальной энергией по сравнению с теми, в которые ядро может самопроизвольно превратиться. Ядра, в которых протонов больше, чем нейтронов, нестабильны, т.к. увеличивается кулоновская сила отталкивания . Ядра, в которых больше нейтронов, тоже нестабильны, т.к. масса нейтрона больше массы протона , а увеличение массы приводит к увеличению энергии. Ядра могут освобождаться от избыточной энергии либо делением на более устойчивые части (альфа-распад и деление), либо изменением заряда (бета-распад). Альфа-распадом называется самопроизвольное деление атомного ядра на альфа частицу
72. Методы регистрации ионизирующих излучений. Метод фотоэмульсий – приложить образец к фотопластинке, и после проявки по толщине и длине следа частицы на ней возможно определить количество и распределение того или иного радиоактивного вещества в образце. Сцинтилляционный счетчик – прибор, в котором можно наблюдать превращение кинетической энергии быстрой частицы в энергию световой вспышки, которая, в свою очередь, инициирует фотоэффект (импульс электрического тока), который усиливается и регистрируется. Камера Вильсона – стеклянная камера с воздухом и пересыщенными парами спирта. При движении частицы через камеру она ионизирует молекулы, вокруг которых тут же начинается конденсация. Цепочка капель, образовавшихся в результате, образует трек частицы. Пузырьковая камера работает на тех же принципах, но в качестве регистратора служит жидкость, близкая к температуре кипения. Газоразрядный счетчик (счетчик Гейгера) – цилиндр, заполненный разреженным газом и натянутой нитью из проводника. Частица вызывает ионизацию газа, ионы под действием электрического поля расходятся к катоду и аноду, ионизируя по пути другие атомы. Возникает коронный разряд, импульс которого регистрируется. 73. Цепная реакция деления ядер урана.
В 30ых годах опытно было установлено, что при облучении урана нейтронами образуются ядра лантана, который не мог образоваться в результате альфа- или бета-распада. Ядро урана-238 состоит из 82 протонов и 146 нейтронов. При делении ровно пополам должен был бы образовываться празеодим
74. Ядерный реактор. Термоядерная реакция. Ядерные реакторы бывают двух видов – на медленных и быстрых нейтронах. Большинство выделяющихся при делении нейтронов имеют энергию порядка 1-2 МэВ, и скорости около 10 7 м/с. Такие нейтроны называются быстрыми, и одинаково эффективно поглощаются как ураном-235, так и ураном-238, а т.к. тяжелого изотопа больше, а он не делится, то цепная реакция не развивается. Нейтроны, движущиеся со скоростям около 2Ч 10 3 м/с, называют тепловыми. Такие нейтроны активнее, чем быстрые, поглощаются ураном-235. Таким образом, для осуществления управляемой ядерной реакции, необходимо замедлить нейтроны до тепловых скоростей. Наиболее распространенными замедлителями в реакторах являются графит, обычная и тяжелая вода. Для того, чтобы коэффициент деления поддерживался на уровне единицы, используются поглотители и отражатели. Поглотителями являются стержни из кадмия и бора, захватывающие тепловые нейтроны, отражателем – бериллий.
Если в качестве горючего использовать уран, обогащенный изотопом с массой 235, то реактор может работать и без замедлителя на быстрых нейтронах. В таком реакторе большинство нейтронов поглощаются ураном-238, который в результате двух бета-распадов становится плутонием-239, также являющимся ядерным топливом и исходным материалом для ядерного оружия
Энергия в ядерных реакциях выделяется не только за счет деления тяжелых ядер, но и за счет соединения легких. Для соединения ядер необходимо преодолеть кулоновскую силу отталкивания, что возможно при температуре плазмы около 10
7
–10
8
К. Примером термоядерной реакции служит синтез гелия из дейтерия и трития
75. Биологическое действие ионизирующих излучений. Защита от радиации. Применение радиоактивных изотопов. Мерой воздействия любого вила излучения на вещество является поглощенная доза излучения. Единицей дозы является грэй, равный дозе, которой облученному веществу массой 1 кг передается энергия в 1 джоуль. Т.к. физическое воздействие любого излучения на вещество связано не столько с нагреванием, сколько с ионизацией, то введена единица экспозиционной дозы, характеризующей ионизационное действие излучения на воздух. Внесистемной единицей экспозиционной дозы является рентген, равный 2.58Ч 10 -4 Кл/кг. При экспозиционной дозе в 1 рентген в 1 см 3 воздуха содержится 2 миллиарда пар ионов. При одинаковой поглощенной дозе действие различных видов облучения неодинаково. Чем тяжелее частица – тем сильнее ее действие (впрочем, более тяжелую и задержать легче). Различие биологического действия излучения характеризуется коэффициентом биологической эффективности, равном единице для гамма-лучей, 3 для тепловых нейтронов, 10 для нейтронов с энергией 0.5 МэВ. Доза, умноженная на коэффициент, характеризует биологическое действие дозы и называется эквивалентной дозой, измеряется в зивертах. Основным механизмом действия на организм является ионизация. Ионы вступают в химическую реакцию с клеткой и нарушают ее деятельность, что приводит к гибели или мутации клетки. Естественный фон облучения составляет в среднем 2 мЗв в год, для городов дополнительно +1 мЗв в год.
76. Абсолютность скорости света. Элементы СТО. Релятивистская динамика.
Опытным путем было установлено, что скорость света не зависит от того, в какой системе отсчета находится наблюдатель. Также невозможно разогнать ни одну элементарную частицу, например электрон, до скорости, равной скорости света. Противоречие между этим фактом и принципом относительности Галилея был разрешен А.Эйнштейном. Основу его [специальной] теории относительности составили два постулата: любые физические процессы протекают одинаково в различных инерциальных системах отсчета, скорость света в вакууме не зависит от скорости источника света и наблюдателя. Явление, описываемые теорией относительности называются релятивистскими. В теории относительности вводятся два класса частиц – те, которые движутся со скоростями, меньшими
с
, и с которыми можно связать систему отсчета, и те, которые движутся со скоростями равными
с
, с которыми нельзя связать системы отсчета. Умножив это неравенство (
Собственное время, т.е. то, которое действует в системе отсчета, связанной с частицей, инвариантно, т.е. не зависит от выбора инерциальной системы отсчета. Принцип относительности модифицирует это утверждение, говоря, что в каждой инерциальной системе отсчета время течет одинаково, но единого для всех, абсолютного, времени не существует. Координатное время связано с собственным временем законом
77. Элементарные частицы.
Изначально к элементарным частицам относили протон, нейтрон и электрон, позже – фотон. Когда открыли распад нейтрона – к числу элементарных частиц добавились мюоны и пионы. Их масса составляла от 200 до 300 электронных масс. Несмотря на то, что нейтрон распадается на проток, электрон и нейтрино, внутри него этих частиц нет, и он считается элементарной частицей. Большинство элементарных частиц нестабильны, и имеют периоды полураспада порядка 10
-6
–10
-16
с. В разработанной Дираком релятивистской теории движения электрона в атоме следовало, что у электрона может существовать двойник с противоположным зарядом. Эта частица, обнаруженная космическом излучении, называется позитроном. Впоследствии было доказано, что у всех частиц существуют свои античастицы, отличающиеся спином и (при наличии) зарядом. Также существуют истинно-нейтральные частицы, полностью совпадающие со своими античастицами (пи-нуль-мезон
Всего существует 4 вида фундаментальных (несводимых к другим) взаимодействия – гравитационное, электромагнитное, слабое и сильное. Электромагнитное взаимодействие объясняется обменом виртуальными фотонами (Из неопределенности Гейзенберга следует, что за небольшое время электрон за счет своей внутренней энергии может выпустить квант, и возместить потерю энергии захватом такого же. Испущенный квант поглощается другим, таким образом обеспечивая взаимодействие.), сильное – обменом глюонами (спин 1, масса 0, переносят "цветовой" кварковый заряд), слабое – векторными бозонами. Гравитационное взаимодействие не объясняется, но кванты гравитационного поля теоретически должны иметь массу 0, спин 2 (???). Поделитесь этой записью или добавьте в закладки |
Полезные публикации |
, откуда
, т.е.
. Полное сопротивление цепи обозначают
. Из диаграммы очевидно, что напряжение также колеблется по гармоническому закону
. При движении удаления от источника спектр сдвигается к меньшим частотам, соответствующим большей длине волны, т.е. к красному цвету, при приближении – к фиолетовому. Импульс также изменяется при скоростях, близких к
с
:
.
Главная