Однополостный гиперболоид
Поверхности второго порядка – это поверхности, которые в прямоугольной системе координат определяются алгебраическими уравнениями второй степени. К ним относится однополосный гиперболоид. Однополосный гиперболоид . Однополосным гиперболоидом называется поверхность, которая в некоторой прямоугольной системе координат определяется уравнением
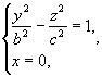
Из уравнения (1) вытекает, что координатные плоскости являются плоскостями симметрии, а начало координат — центром симметрии однополостного гиперболоида. Уравнение (1) называется каноническим уравнением однополосного гиперболоида. Если однополостный гиперболоид задан своим каноническим уравнением (1) то оси Ох, Оу и Oz называются его главными осями. Установим вид поверхности (1). Для этого рассмотрим сечение ее координатными плоскостями Oxy (y=0) и Oyx (x=0). Получаем соответственно уравнения
из которых следует, что в сечениях получаются гиперболы.
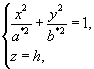
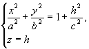
из которых следует, что плоскость z=h пересекает гиперболоид по эллипсу с полуосями
достигающими своих наименьших значений при h=0, т.е. в сечении данного гиперболоида координатной осью Oxy получается самый маленький эллипс с полуосями a*=a и b*=b. При бесконечном возрастании
Таким образом, рассмотренные сечения позволяют изобразить однополосный гиперболоид в виде бесконечной трубки, бесконечно расширяющейся по мере удаления (по обе стороны) от плоскости Oxy. Величины a, b, c называются полуосями однополосного гиперболоида. Исследование поверхности методом параллельных сечений. Суть метода заключается в выяснении формы линий пересечения поверхности с плоскостями, параллельными координатным плоскостям. Рассмотрим линии пересечения с плоскостями, параллельными плоскости OXY . Все уравнения линий пересечений будут получаться из уравнения плоскости, в котором z будет заменена на некоторое число, равное расстоянию от пересекающей плоскости до плоскости OXY. Для более наглядного представления, я изобразил все полученные кривые в виде проекций на плоскость OXY. Изображения кривых представлены выше. Величины a, b, c называются полуосями однополосного гиперболоида. Если a=b,то гиперболоид может быть получен вращением гиперболы с полуосями а и с вокруг мнимой оси 2с. Одним из примеров такой поверхности является конструкция радиобашни построенной по принципу сетчатых конструкций на Шаболовке (г. Москва), Владимир ом Григорьевич ем Шуховым в 1919 - 1922 гг. В прошедшем году исполнилось 80 лет Шаболовской радиобашне — символу советского телевидения 40-60-х годов.
Список использованной литературы: 1.Шипачёв В.С.: “Высшая математика” 2.В.А. Ильин, Э.Г. Позняк: “Аналитическая геометрия” 3.И.Н.Бронштейн, К.А.Семендяев “Справочник по математике для инженеров и учащихся ВТУЗОВ”
Поделитесь этой записью или добавьте в закладки |
Полезные публикации |
(1)
и
Теперь рассмотрим сечения данного гиперболоида плоскостями z=h, параллельными координатной плоскости
Oxy.
Линия, получающаяся в сечении, определяется уравнениями
или
Главная