Использование дифференциальных уравнений в частных производных для моделирования реальных процессов.
СОДЕРЖАНИЕ Введение Глава 1. Уравнения гиперболического типа. §1.1. Задачи, приводящие к уравнениям гиперболического типа 1.1.1. Уравнение колебаний струны 1.1.2. Уравнение электрических колебаний в проводах §1.2. Метод разделения переменных 1.2.1. Уравнение свободных колебаний струны Глава 2. Уравнения параболического типа. §2.1. Задачи, приводящие к уравнениям параболического типа 2.1.1. Уравнение распространения тепла в стержне 2.1.2. Распространение тепла в пространстве §2.2. Температурные волны Глава 3. Моделирование с помощью дифференциальных уравнений в частных производных. §3.1. Дифракция излучения на сферической частице Заключение Литература
ВВЕДЕНИЕ Изучением дифференциальных уравнений в частных производных занимается математическая физика. Основы теории этих уравнений впервые были изложены в знаменитом “Интегральном исчислении” Л. Эйлера. Классические уравнения математической физики являются линейными. Особенность линейных уравнений состоит в том, что если U и V – два решения, то функция a U + b V при любых постоянных a и b снова является решением. Это обстоятельство позволяет построить общее решение линейного дифференциального уравнения из фиксированного набора его элементарных решений и упрощает теорию этих уравнений. Современная общая теория дифференциальных уравнений занимается главным образом линейными уравнениями и специальными классами нелинейных уравнений. Основным методом решения нелинейных дифференциальных уравнений в частных производных выступает численное интегрирование. Круг вопросов математической физики тесно связан с изучением различных физических процессов. Сюда относятся явления, изучаемые в гидродинамике, теории упругости, электродинамике и т.д. Возникающие при этом математические задачи содержат много общих элементов и составляют предмет математической физики. Постановка задач математической физики, будучи тесно связанной с изучением физических проблем, имеет свои специфические черты. Так, например, начальная и конечная стадии процесса носят качественно различный характер и требуют применения различных математических методов. Круг вопросов, относящихся к математической физике, чрезвычайно широк. В данной работе рассматриваются задачи математической физики, приводящие к уравнениям с частными производными. Расположение материала соответствует основным типам уравнений. Изучение каждого типа уравнений начинается с простейших физических задач, приводящих к уравнениям рассматриваемого типа. Глава 1. УРАВНЕНИЯ ГИПЕРБОЛИЧЕСКОГО ТИПА §1.1. Задачи, приводящие к уравнениям гиперболического типа. Уравнения с частными производными 2-го порядка гиперболического типа наиболее часто встречаются в физических задачах, связанных с процессами колебаний. Простейшее уравнение гиперболического типа
называется волновым уравнением. К исследованию этого уравнения приводит рассмотрение процессов поперечных колебаний струны, продольных колебаний стержня, электрических колебаний в проводе, крутильных колебаний вала, колебаний газа и т.д. 1.1.1. Уравнение колебаний струны.
В математической физике под струной понимают гибкую, упругую нить. Напряжения, возникающие в струне в любой момент времени, направлены по касательной к ее профилю. Пусть струна длины
Будем рассматривать малые отклонения точек струны от начального положения. В силу этого можно предполагать, что движение точек струны происходит перпендикулярно оси Ox и в одной плоскости. При этом предположении процесс колебания струны описывается одной функцией
Рис. 1.1.
Так как мы рассматриваем малые отклонения струны в плоскости
Рассмотрим элемент струны
Рис. 1.2.
На концах этого элемента, по касательным к струне, действуют силы Т. Пусть касательные образуют с осью Ox углы
(здесь мы применили теорему Лагранжа к выражению, стоящему в квадратных скобках).
Чтобы получить уравнение движения, нужно внешние силы, приложенные к элементу, приравнять силе инерции. Пусть
Сокращая на
Это и есть волновое уравнение – уравнение колебаний струны. Для полного определения движения струны одного уравнения (1) недостаточно. Искомая функция
Пусть, например, как мы предполагали, концы струны при
Эти равенства являются граничными условиями для нашей задачи. В начальный момент t = 0 струна имеет определенную форму, которую мы ей придали. Пусть эта форма определяется функцией f (x). Таким образом, должно быть
Далее, в начальный момент должна быть задана скорость в каждой точке струны, которая определяется функцией
Условия (3’) и (3’’) являются начальными условиями.
Замечание.
В частности, может быть
1.1.2. Уравнение электрических колебаний в проводах.
Как указывалось выше, к уравнению (1) приводит и задача об электрических колебаниях в проводах. Электрический ток в проводе характеризуется величиной i (x, t) и напряжением v (x, t), которые зависят от координаты x точки провода и от времени t. Рассматривая элемент провода
где R и L – сопротивление и коэффициент индуктивности, рассчитанные на единицу длины провода. Знак минус взят потому, что ток течет в направлении, обратном возрастанию v. Сокращая на
Далее, разность токов, выходящего из элемента
Она расходуется на зарядку элемента, равную
Уравнения (5) и (6)принято называть телеграфными уравнениями. Из системы уравнений (5) и (6) можно получить уравнение, содержащее только искомую функцию i (x, t), и уравнение, содержащее только искомую функцию v (x, t). Продифференцируем члены уравнения (6) по x; члены уравнения (5) продифференцируем по t и умножим их на С. Произведя вычитание, получим:
Подставляя в последнее уравнение выражение
или
Аналогичным образом получается уравнение для определения v (x, t):
Если пренебречь утечкой через изоляцию
где обозначено:
§1.2. Метод разделения переменных. 1.2.1. Уравнение свободных колебаний струны. Метод разделения переменных или метод Фурье, является одним из наиболее распространенных методов решения уравнений с частными производными. Изложение этого метода мы проведем для задачи о колебаниях струны, закрепленной на концах. Итак, будем искать решение уравнения
удовлетворяющее однородным граничным условиям
и начальным условиям
Уравнение (1) линейно и однородно, поэтому сумма частных решений также является решением этого уравнения. Имея достаточно большое число частных решений, можно попытаться при помощи суммирования их с некоторыми коэффициентами найти искомое решение. Поставим основную вспомогательную задачу: найти решение уравнения
не равное тождественно нулю, удовлетворяющее однородным граничным условиям
и представимое в виде произведения
где X (x) – функция только переменного x, T (t) – функция только переменного t. Подставляя предполагаемую форму решения (12) в уравнение (1), получим:
или, после деления на XT,
Чтобы функция (12) была решением уравнения (1), равенство (13) должно удовлетворяться тождественно, т. е. 0 ‹ х ‹
где
Из соотношения (14) получаем обыкновенные дифференциальные уравнения для определения функций X (x) и T (t)
Граничные условия (11) дают:
Отсюда следует, что функция X (x) должна удовлетворять дополнительным условиям:
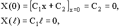
X(0) = X(
Так как иначе мы имели бы
в то время как задача состоит в нахождении нетривиального решения. Для функции T (t) в основной вспомогательной задаче никаких дополнительных условий нет. Таким образом, в связи с нахождением функции X (x) мы приходим к простейшей задаче о собственных значениях:
найти те значения параметра
а также найти эти решения.
Такие значения параметра
Рассмотрим отдельно случаи, когда параметр
Граничные условия дают: Х (0) = С 1 + С 2 = 0;
т. е.
Но в рассматриваемом случае
С 1 =0, С 2 = 0 и, следовательно,
Х (х)
Х (х) = С 1 х + С 2 . Граничные условия дают:
т. е. С 1 = 0 и С 2 = 0 и, следовательно,
Х (х)
› 0 общее решение уравнения может быть записано в виде
Граничные условия дают:
Если Х(х) не равно тождественно нулю, то D
2
или
где n- любое целое число. Следовательно, нетривиальные решения задачи (18) возможны лишь при значениях
Этим собственным значениям соответствуют собственные функции
где D n – произвольная постоянная.
Итак, только при значениях
существуют нетривиальные решения задачи (11)
определяемые с точностью до произвольного множителя, который мы положили равным единице. Этим же значениям
где A n и B n – произвольные постоянные. Возвращаясь к задаче (1), (9), (10), заключаем, что функции
являются частными решениями уравнения (1), удовлетворяющими граничным условиям (11) и представимыми в виде произведения (12) двух функций, одна из которых зависит только от х, другая – от t. Эти решения могут удовлетворить начальным условиям (10) нашей исходной задачи только для частных случаев начальных функций j (x) и y (x). Обратимся к решению задачи (1), (9), (10) в общем случае. В силу линейности и однородности уравнения (1) сумма частных решений
также удовлетворяет этому уравнению и граничным условиям (9). Начальные условия позволяют определить A n и B n . Потребуем, чтобы функция (24) удовлетворяла условиям (10)
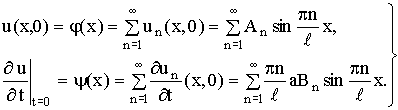
Из теории рядов Фурье известно, что произвольная кусочно-непрерывная и кусочно-дифференцируемая функция f(x), заданная в промежутке
где
Если функции j (x) и y (x) удовлетворяют условиям разложения в ряд Фурье, то
Сравнение этих рядов с формулами (25) показывает, что для выполнения начальных условий надо положить
чем полностью определяется функция (24), дающая решение исследуемой задачи. Итак, мы доказали, что ряд (24), где коэффициенты A n и B n определены по формуле (30), если он допускает двукратное почленное дифференцирование, представляет функцию u (x, t), которая является решением уравнения (1) и удовлетворяет граничным и начальным условиям (9) и (10).
Замечание.
Решая рассмотренную задачу для волнового уравнения другим методом, можно доказать, что ряд (24) представляет решение и в том случае, когда он не допускает почленного дифференцирования. При этом функция
Глава 2. УРАВНЕНИЯ ПАРАБОЛИЧЕСКОГО ТИПА §2.1. Задачи, приводящие к уравнениям гиперболического типа.
Рассмотрим однородный стержень длины
Расположим ось Ох так, что один конец стержня будет совпадать с точкой х = 0, а другой – с точкой х =
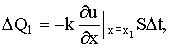
Рис. 2.1. Пусть u (x, t) – температура в сечении стержня с абсциссой х в момент t. Опытным путем установлено, что скорость распространения тепла, т. е. количество тепла, протекающего через сечение с абсциссой х за единицу времени, определяется формулой
где S – площадь сечения рассматриваемого стержня, k – коэффициент теплопроводности.
Рассмотрим элемент стержня, заключенный между сечениями с абсциссами х
1
и х
2
(х
2
– х
1
=
то же самое с абсциссой х 2 :
Приток
Этот приток тепла за время
или
где с – теплоемкость вещества стержня,
Приравнивая выражения (4) и (5) одного и того же количества тепла
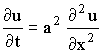
Это и есть уравнение распространения тепла (уравнение теплопроводности) в однородном стержне.
Чтобы решение уравнения (6) было вполне определено, функция u (x, t) должна удовлетворять краевым условиям, соответствующим физическим условиям задачи. Краевые условия для решения уравнения (6) могут быть различные. Условия, которые соответствуют так называемой первой краевой задаче для
u (x, 0) = φ(x), (7) u (0, t) = ψ 1 (t), (8)
u (
Физическое условие (7) (начальное условие) соответствует тому, что при
Доказывается, что уравнение (6) имеет единственное решение в области
2.1.2. Распространение тепла в пространстве.
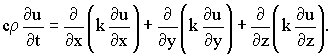
Рассмотрим процесс распространения тепла в трехмерном пространстве. Пусть u (x, y, z, t) – температура в точке с координатами (x, y, z) с момент времени t. Опытным путем установлено, что скорость прохождения тепла через площадку
где k – коэффициент теплопроводности рассматриваемой среды, которую мы считаем однородной и изотропной, n – единичный вектор, направленный по нормали к площадке
где
Подставляя выражение
Количество тепла, протекающего за время ∆t через площадку ∆s, будет равно:
Вернемся к поставленной задаче. В рассматриваемой среде выделим малый объем V, ограниченный поверхностью S. Количество тепла, протекающего через поверхность S, будет равно:
где n – единичный вектор, направленный по внешней нормали к поверхности S. Очевидно, что формула (11) дает количество тепла, поступающего в объем V (или уходящего из объема V) за время
Рассмотрим элементарный объем
где с – теплоемкость вещества, ρ – плотность. Общее количество тепла, затраченное на повышение температуры в объеме V за время
Но это есть тепло, поступающее в объем V за время
Сокращая на
Поверхностный интеграл, стоящий в левой части этого равенства, преобразуем по формуле Остроградского (в векторной форме, где F – дивергенция векторного поля,
полагая F = k grad u:
Заменяя двойной интеграл, стоящий в левой части равенства (12), тройным интегралом, получим:
Применив теорему о среднем к тройному интегралу, стоящего слева, получим :
где P (x, y, z) – некоторая точка объема V. Так как мы можем выделить произвольный объем V в трехмерном пространстве, где происходит распространение тепла, и так как мы предполагаем, что подынтегральная функция в равенстве (13) непрерывна, то равенство (14) будет выполняться в каждой точке пространства. Итак,
Но
Подставляя в уравнение (15), получаем:
Если k – постоянное, то
и уравнение (15) в этом случае дает:
или, положив
Коротко уравнение (17) записывается так:
где
Пусть имеем тело
u (x, y, z, 0) = φ (x, y, z). (18)
Кроме того, должна быть известна температура в любой точке М поверхности
u (М, t) = ψ (М, t). (19) (Возможны и другие граничные условия.) Если искомая функция u (x, y, z, t) не зависит от z, что соответствует тому, что температура не зависит от z, то получаем уравнение:
u (x, y, 0) = φ (x, y), u (М, t) = ψ (М, t), где φ и ψ – заданные функции, М – точка границы С. Если же функция u не зависит ни от z, ни от y, то получаем уравнение
- уравнение распространения тепла в стержне. §2.2. Температурные волны. Задача о распространении температурных волн в почве является одним из первых примеров приложения математической теории теплопроводности, развитой Фурье, к изучению явлений природы.
Температура на поверхности земли носит, как известно, ярко выраженную суточную и годовую периодичность. Обратимся к задаче о распространении периодических температурных колебаний в почве, которую будем рассматривать как однородное полупространство
найти ограниченное решение уравнения теплопроводности
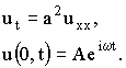
удовлетворяющее условию
u (0, t) = A cos
Предполагается, что функции u (x, t) и m (t) ограничены всюду, т.е.
Запишем граничное условие в виде
Из линейности уравнения теплопроводности следует, что действительная и мнимая части некоторого комплексного решения уравнения теплопроводности каждая в отдельности удовлетворяет тому же решению. Если найдено решение уравнения теплопроводности, удовлетворяющее условию (2’), то его действительная часть удовлетворяет условию (2), а мнимая – условию
Итак, рассмотрим задачу:
Ее решение будем искать в виде
где
Подставляя выражение (4) в уравнение (3) и граничное условие, находим:
откуда
Для u (x, t) имеем:
Действительная часть этого решения
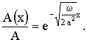
удовлетворяет уравнению теплопроводности и граничному условию (2). Формула (6) в зависимости от выбора знака определяет не одну, а две функции. Однако только функция, соответствующая знаку минус, удовлетворяет требованию ограниченности. Таким образом, решение поставленной задачи получаем в виде
На основании полученного решения можно дать следующую характеристику процесса распространения температурной волны в почве. Если температура поверхности длительное время периодически меняется, то в почве также устанавливаются колебания температуры с тем же периодом, причем: 1.Амплитуда колебаний экспоненционально убывает с глубиной
т.е. если глубины растут в арифметической прогрессии, то амплитуды убывают в геометрической прогрессии (первый закон Фурье).
2. Температурные колебания в почве происходят со сдвигом фазы. Время
(второй закон Фурье). 3. Глубина проникновения тепла в почву зависит от периода колебаний температуры на поверхности. Относительное изменение температурной амплитуды равно
Эта формула показывает, что чем меньше период, тем меньше глубина проникновения температуры. Для температурных колебаний с периодами Т 1 и Т 2 глубины x 1 и x 2 , на которых происходит одинаковое относительное изменение температуры, связаны соотношением
(третий закон Фурье). Так, например, сравнение суточных и годовых колебаний, для которых Т 2 = 365 Т 1 , показывает, что
т.е. что глубина проникновения годовых колебаний при одинаковой амплитуде на поверхности была бы в 19,1 раза больше глубины проникновения суточных колебаний. Следует, однако, иметь в виду, что изложенная здесь теория относится к распространению тепла в сухой почве или горных породах. Наличие влаги усложняет температурные явления в почве, при замерзании происходит выделение скрытой теплоты, не учитываемое этой теорией. Температуропроводность является одной из характеристик тела, важных для изучения его физических свойств, а также для различных технических расчетов. На изучении распространения температурных волн в стержнях основан один из лабораторных методов определения температуропроводности.
Пусть на конце достаточно длинного стержня поддерживается периодическая температура
где Т – период, и взяв температурные волны, соответствующие каждому слагаемому, получим, что температура u (x, t) для любого x будет периодической функцией времени и ее n-я гармоника равна
или
Эта формула показывает, что если произвести измерение температуры в каких-нибудь двух точках, x 1 и x 2 , за полный период, то, находя коэффициенты a n (x 1 ), b n (x 1 ), a n (x 2 ), b n (x 2 ) при помощи гармонического анализа, можно определить коэффициент температуропроводности стержня а 2 . Глава 3. МОДЕЛИРОВАНИЕ С ПОМОЩЬЮ ДИФФЕРЕНЦИАЛЬНЫХ УРАВНЕНИЙ В ЧАСТНЫХ ПРОИЗВОДНЫХ. §3.1. Дифракция излучения на сферической частице.
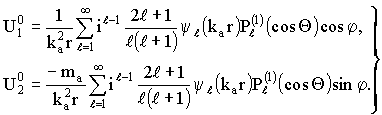
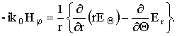
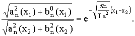
Перейдем теперь к рассмотрению задачи о дифракции электромагнитных волн на сферической частице. Как известно, в случае монохроматического излучения частоты
где
Задача о разыскании шести неизвестных функций (
Пусть на сферическую частицу радиуса а, центр которой совмещен с началом координат, в отрицательном напрвлении оси Oz падает линейно поляризованная плоская волна (рис 4.). Ось Ox является направлением электрических колебаний, а ось Oy – магнитных. Электрическое и магнитное поля в падающей волне описываются формулами:
где k a = m a k 0 – величина волнового вектора падающего излучения во внешней среде с вещественным показателем преломления m a .
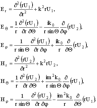
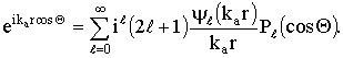
Рис. 3.1. Сферическая система координат для изучения дифракции света на шаре. В дальнейшем в промежуточных формулах всюду будет опущен множитель Е 0 , который будет внесен в окончательные выражения для полей. В сферической системе координат, в которой естественно решать данную задачу, уравнения Максвелла (1) имеют вид:
Падающее поле возбуждает в шаре внутреннее поле, а во внешнем пространстве – дифрагированное поле, причем все эти поля должны иметь оду и ту же временную зависимость, т.е. частоту. Произвольное электромагнитное поле будем представлять как суперпозицию двух типов колебаний. Первый тип назовем электрическими колебаниями и будем считать, что у этих колебаний радиальная составляющая магнитного поля во всех точках равна нулю:
Второй тип – магнитные колебания:
В случае электрических колебаний из уравнения (6) получим
Это соотношение, очевидно, будет удовлетворено, если предположим, что
Подставляя эти соотношения в формулы (4) и (5) получим
Этим соотношениям можно удовлетворить, если положить
тогда как (7) и (8) приводятся к одному и тому же волновому уравнению для функции
(12)
Используя указанные выше соотношения и заменяя в выражении для
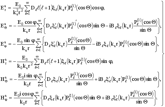
которые выражают все составляющие полей для случая
В общем случае в поле присутствуют колебания обоих типов. Для составляющих полей получим при этом следующие выражения:
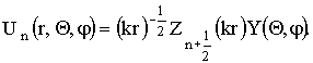
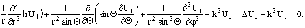
Функции U 1 и U 2 являются решением волнового уравнения.
которое будем решать по методу Фурье (значок у U временно опущен, он появится при рассмотрении граничных условий, которые для U 1 и U 2 различны). В качестве частного решения положим
Подставляя (16) в (13) и разделяя переменные, получим для f и Y следующие уравнения:
Уравнение для Y имеет однозначное и непрерывное решение на всей сфере только для
где
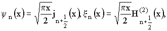
Это уравнение Бесселя и его решением являются цилиндрические функции с полуцелым индексом
Из всех цилиндрических функций только бесселевы функции первого рода
тогда частное решение, очевидно, следует представить в виде суперпозиции частных решений с неопределенными коэффициентами, которые вычисляются из граничных условий. Граничные условия для потенциалов U
1
и U
2
на шаре получаются из требования непрерывности тангенциальных (
где U a – потенциал дифрагированного поля, а U i – внутреннего.
Представим теперь электрический и магнитный потенциалы падающей волны также в виде рядов по
Тогда после преобразований получим:
Потенциалы
Коэффициенты
Аналогичная система получается для
Решая эти системы относительно
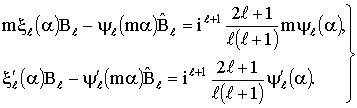
Аналогичные выражения получаются и для
Штрихи всюду означают производные по аргументу, указанному под знаком функции (
и применяя асимптоматические выражения для функций
Согласно этим формулам, дифрагированное поле представляется в виде сумм отдельных парциальных волн. Интенсивность возбуждения
Поле вне частицы
Средняя по времени величина вектора потока энергии определяется
где
где J
0
– интенсивность падающего излучения,
Рассмотрим интеграл в (39). Имеем
Сумма будет иметь общий множитель
Заключение В дипломной работе приведены некоторые примеры применения дифференциальных уравнений для моделирования таких реальных процессов, как колебания струны, электрические колебания в проводах, распространение тепла в стержне и пространстве, распространение температурных волн в почве, дифракция излучения на сферической частице. Работа начинается с рассмотрения простейших задач, приводящих к дифференциальным уравнениям гиперболического типа (колебания струны, электрические колебания в проводах). Затем рассматривается один из методов решения уравнений данного типа. Во второй главе рассматриваются дифференциальные уравнения параболического типа (распространение тепловых волн) и одно из приложений к данной сфере – температурные волны. В третьей главе рассматривается вывод уравнения дифракции излучения на сферической частице. Вследствие большого объема теории по применению дифференциальных уравнений для моделирования реальных процессов в данной дипломной работе не мог быть рассмотрен весь материал. В заключение хотелось бы отметить особую роль дифференциальных уравнений при решении многих задач математики, физики и техники, так как часто не всегда удается установить функциональную зависимость между искомыми и данными переменными величинами, но зато удается вывести дифференциальное уравнение, позволяющее точно предсказать протекание определенного процесса при определенных условиях.
Литература.
Поделитесь этой записью или добавьте в закладки |
Полезные публикации |
.
. (1)
(3’’)
(7)
(8)
(10)
(11)
(18)
(20)
(23)
(24)
(25)
(26)
(27)
(28)
(29)
(4)
(12)
(14)
(16)
(17)
(20)
(1)
(3)
(5)
(6)
(7)
- волновое число для пустоты; с
0
– скорость света в вакууме. Обозначим через k = k
0
m – волновое число в среде с комплексным показателем преломления m = n – ix. Показатели преломления и поглощения (n и x) называются оптическими постоянными, их зависимость от
w
обычно известна из эксперимента.
(2)
(5)
(6)
(7)
(8)
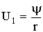
. Если теперь вместо функции
(11)
(13)
(14)
(17)
(18)
(19)
а
, тогда для R
n
(x) получим следующее уравнение (x = kr):
(20)
(21)
(22)
(23)
(24)
(25)
(26)
(27)
(28)
- относительный (комплексный) показатель преломления,
(29)
(30)
(31)
(32)
(34)
(35)
(39)
(40)
. Оба интеграла легко вычисляются. Интеграл а) равен нулю, так как его подынтегральное выражение есть
Главная