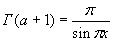
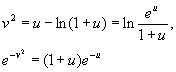
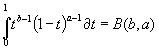
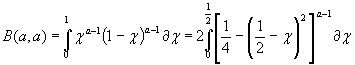
1. Áýòà-ôóíêöèè 6Бэта – функции определяются интегралом Эйлера первого рода:
сходятся при
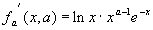
т.e. аргумент
по формуле интегрирования почестям имеем
Откуда
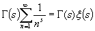
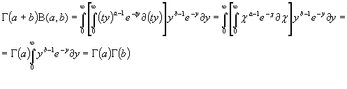
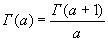
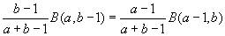
7 При целом b = n последовательно применяя(1.2) Получим
при целых
но B(1,1) = 1,следовательно:
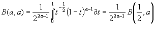
Положим в (1.1)
8
и в результате подстановки
полагая в(1.1)
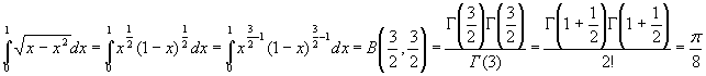
разделяя интеграл на два в пределах от 0 до 1 и от 1 до
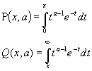
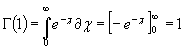
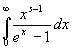
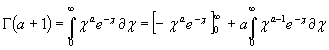
2. Ãàììà-ôóíêöèÿ 9 Гамма функцию определяет интеграл Эйлера второго рода
G
(a) =
сходящийся при
G
(a) =
и после замены
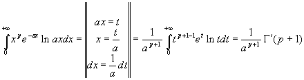
Умножая это равенство и интегрируя по t и пределах от 0 до
или на основании (1.4) и после изменения в правой части порядка интегрирования ,получаем:
10 откуда
заменяя в (2,1)
получаем рекурентною формулу
так как
но при целом
то есть при целых значениях аргумента гамма-функция превращается в факториал.Порядок которого на единицу меньше взятого значения аргумента.При n=1 в (2.4) имеем
3. Производная гамма функции 11 Интеграл
сходится при каждом
В области
Отсюда вытекает непрерывность гамма функции при
12
сходится равномерно на каждом сегменте
и так как интеграл
в котором подынтегральная функция непрерывна в области
13
сходится равномерно , а, следовательно , гаммма функция бесконечно дифференцируема при любом
Относительно интеграла
По индукции доказывается , что Г-функция бесконечно дифференцируема при
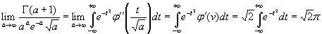
Изучим теперь поведение
Из выражения для второй производной
14
Равенство
Положим для
Определив таким образом
Отметим еще раз, что интеграл
определяет Г-функцию только при положительных значениях
15
(рис.1)
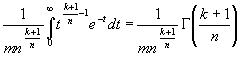
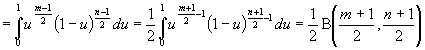
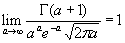
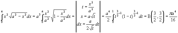
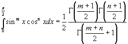
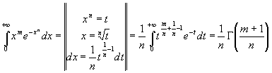
4. Вычисление некоторых интегралов. 16 Формула Стирлинга Применим гамма функцию к вычислению интеграла:
где m > -1,n > -1.Полагая , что
и на основании (2.2) имеем
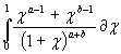
В интеграле
Где k > -1,n > 0,достаточно положить
17 Интеграл
Где s > 0,разложить в ряд
=
где
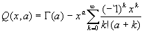
Рассмотрим неполные гамма функции (функции Прима)
связанные неравенством
Разлагая,
18
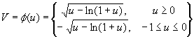
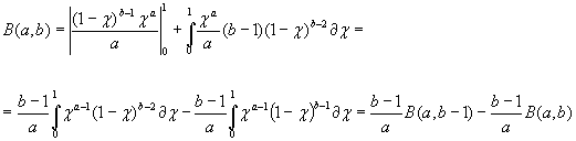
Переходя к выводу формулы Стирлинга , дающей в частности приближенное значение n! при больших значениях n ,рассмотрим предварительно вспомогательную функцию
Непрерывна на интервале (-1,
то
И так производная непрерывна и положительна во всем интервале
19
Из предыдущего следует, что существует обратная функция,
Обращающаяся в 0 при v=0 и удовлетворяющая условие
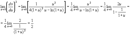
Формулу Стирлинга выведем из равенства
полагая
Положим далее
20 имеем
полагая на конец ,
или
в пределе при
откуда вытекает формула Стирлинга
которую можно взять в виде
21
где
для достаточно больших
вычисление же производится при помощи логарифмов
если
приведем без вывода более точную формулу
где в скобках стоит не сходящийся ряд.
5. Примеры вычисления интегралов 22 Для вычисления необходимы формулы:
Г(
Вычислить интегралы
23
Міністерство освіти і науки України Запорізький державний університет
ДО ЗАХИСТУ ДОПУЩЕНИЙ Зав. каф. Математичного аналізу д. т. н. проф. ____ С.Ф. Шишканова _________________________ 2002р.
ПОЯСНЮВАЛЬНА ЗАПИСКА ДО КУРСОВОГО ПРОЕКТУ
ГАМА ФУНКЦІЇ
Розробив Ст..гр.. 8221-2 Садигов Р.А.
Керівник Ст. викладач Кудря В.І.
Запоріжжя 2002. Содержание Задание на курсовую работу ...................................2 Реферат ...................................4 введение ...................................5
вывод ..................................24 Список литературы……………………………………………..............25
Реферат
Курсовая работа: 24 ст., 5 источников, 1 рис. Обьект иследований: гамма и ее приложения. В работе идет речь о представлении бета и гамма функций с помощью интегралов Эйлера соответствено первого и второго рода. И о их применении для вычисления интегралов. Ключевые слова: ГАММА И БЕТА ФУНКЦИЯ, ИНТЕГРАЛ ЭЙЛЕРА, ПРОИЗВОДНАЯ, ПРЕДЕЛ.
Введение Выделяют особый класс функций, представимых в виде собственого либо несобственого интеграла, который зависит не только от формальной переменной, а и от параметра. Такие функции называются интегралами зависящими от параметра. К их числу относятся гамма и бета функции Эйлера. Бета функции представимы интегралом Эйлера первого рода:
гамма функция представляется интегралом Эйлера второго рода:
Вывод Гамма функции являются удобным средством для вычисления некоторых интегралов в частности многих из тех интегралов, которые не представимы в элементарных функциях. Благодаря этому они широко применяются в математике и ее приложениях, в механике, термодинамике и в других отраслях современной науки.
Список литературы 1. Специальные функции и их приложения: Лебедев И.И.,М.,Гостехтериоиздат,1953 2. Математический анализ часть 2: Ильин О.А., Садовничий В.А., Сендов Бл.Х.,М.,”Московский университет”,1987 3. Сборник задач по математическому анализу: Демидович Б.П.,М.,Наука,1966 4. Интегралы и ряды специальные функции: Прудников А.П., Брычков Ю.А.,М.,Наука,1983 5. Специальные функции: Кузнецов , М.,”Высшая школа”,1965
Поделитесь этой записью или добавьте в закладки |
Полезные публикации |
(1.3)
(1.4)
при
так как и второе слогаемое правой части является интегралом, заведомо сходящимся при любом
сходится, то выполнены условия признака Веерштрасса. Таким образом , в области
cходится равномерно.
сходится, то интеграл
сходится равномерно относительно
. При таких
сходится равномерно относительно
(3.1)
(3.2)
Главная