Быков В.В. bikov@rambler.ru
Содержание
Введение…………………………………………………………………………………………3 §1. Предварительные сведения……………………………………5 §2. Основные факты………………………………………………………………8 §3. Теоремы Штурма……………………………………………………………18 Использованная литература…………………………………………27
Введение
Тема дипломной работы “Теорема Штурма”, связана с именем французского математика Жака Шарля Франсуа Штурма. Штурм Жак Шарль Франсуа (Sturm J. Ch. F. – правильное произношение: Стюрм), родился 29 сентября 1803 года в Женеве. Был членом Парижской академии наук с 1836, а также иностранным членом – корреспондентом Петербургской академии наук с того же года. С 1840 года был профессором Политехнической школы в Париже. Штурм (1824/25) и Раабе (1827) ввели главные формулы сферической тригонометрии при помощи пространственных координат. Теорему Фурье ( Теорема о числе действительных корней между двумя данными пределами ), математика Жозефа Фурье (Joseph Fourier, 1768-1830), затмила более общая теорема, опубликованная Штурмом в Bull. mathem., 1829. Доказательство сам Штурм представил только в одной премированной работе 1835г. Коши Огюстен (Cauchy Augustin, 1789-1857) распространил теорему Штурма на комплексные корни (1831). Дополнение к ней дал также Сильвестр Джемс Джозеф (Sylvester Y.Y., 1814-1897) в 1839 году и позже. Основные работы Жана Шарля Штурма относятся к решению краевых задач уравнений математической физики и связанной с этим задачей о разыскивании собственных значений и собственных функций для обыкновенных дифференциальных уравнений. (Задача Штурма-Лиувилля, о нахождении отличных от нуля решений дифференциальных уравнений : -(p(t)u ¢ ) ¢ +q(t)u= l u, удовлетворяющих граничным условиям вида: А 1 u(a)+B 1 u ¢ (a)=0, A 2 u(b)+B 2 u ¢ (b)=0, (так называемых собственных функций), а также о нахождении значений параметра l (собственных значений), при которых существуют такие решения. При некоторых условиях на коэффициенты p(t), q(t) задача Штурма-Лиувилля сводилась к рассмотрению аналогичной задачи для уравнения вида: -u ¢ ¢ +q(x)u= l u). Эта задача была впервые исследована Штурмом и Жозефом Лиувиллем (Joseph Liouville, 1809-1882) в 1837г. и закончена в 1841 г. Также Жак Штурм дал общий метод для определения числа корней алгебраических уравнений, лежащих на заданном отрезке, названный правилом Штурма, который позволяет находить непересекающиеся интервалы, содержащие каждый по одному действительному корню данного алгебраического многочлена с действительными коэффициентами (уже упоминалось выше). Ему принадлежат ряд работ по оптике и механике. Штурм Жак Шарль Франсуа умер 18 декабря 1855года.
§ 1. Предварительные сведения
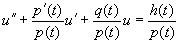
Среди дифференциальных уравнений, наиболее часто используемых в математике и физике, следует выделить линейное уравнение второго порядка, имеющее вид u"+ g(t)u' + f(t)u=h(t) (1.1)или (р (t) и')' + q (f) и = h(t) . (1.2)Как правило, если не оговорено противное, предполагается, что функции (t), g (f), h (f) и р (f) № 0, q (t), входящие в эти уравнения, являются непрерывными (вещественными или комплексными) на некотором t -интервале J , который может быть как ограниченным, так и неограниченным. Причина, по которой предполагается, что р(t) № 0, скоро станет ясной. Из двух выражений (1.1) и (1.2) последнее является более общим, поскольку уравнение (1.1) может быть записано в виде (p(t) и')' + р(t) f(t)u= р (t) h (t), (1.3)если определить p(t) следующим образом:
при некотором a€J . Частичное обращение этого утверждения также верно, поскольку если функция р(t) непрерывно дифференцируема, уравнение (1.2) можно записать в виде
а это уравнение имеет вид (1.1).
В случае, если функция
р (t)
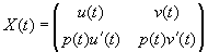
непрерывна, но не имеет непрерывной производной, уравнение (1.2) не может быть записано в виде (1.1). Тогда уравнение (1.2) можно интерпретировать как линейную систему из двух уравнений первого порядка для неизвестного двумерного вектора
Другими словами, решение и = и (t) уравнения (1.2) должно быть такой непрерывно дифференцируемой функцией, что функция р(t) u'(t) имеет непрерывную производную, удовлетворяющую (1.2). Если р(t) № 0 и q(t), h(t) непрерывны, к системе (1.5) , а потому и к уравнению (1.2) применимы стандартные теоремы существования и единственности для линейных систем (Мы можем рассматривать также более общие (т. е. менее гладкие) типы решений, если предполагать, например, только, что функции 1/ p(t), q (t), h (t) локально интегрируемы.)
Частному случаю уравнения
(1.2)
при
и" + q(t) u = h(t). (1.6)
Если функция
при некотором
a € J.
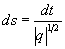
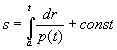
Функция
s = s
(t)
имеет производную
где аргумент t выражений p(f)q(t) и p(t) h(f ) должен быть заменен функцией t = t(s). Уравнение (1.8) является уравнением типа (1.6). Если функция g (t) имеет непрерывную производную, то уравнение (1.1) может быть приведено к виду (1.6) с помощью замены неизвестной функции и на z :
при некотором a € J . В самом деле, подстановка (1.9) в (1.1) приводит к уравнению
которое имеет вид (1.6). В силу сказанного выше, мы можем считать, что рассматриваемые уравнения второго порядка в общем случае имеют вид (1.2) или (1.6). Утверждения, содержащиеся в следующих упражнениях, будут часто использоваться в дальнейшем.
§ 2. Основные факты
Прежде чем перейти к рассмотрению специальных вопросов, мы получим следствия, касающиеся однородного и неоднородного уравнений
Для этого перепишем скалярные уравнения (2.1) или (2.2) в виде системы двух уравнений
где векторы
х= (х
1
, х
2
), у == (у
1
,
y
2
)
совпадают с векторами
Если не оговорено противное, то предполагается, что
(i) Если
имеет единственное решение, существующее при всех
(ii) В частном случае (2.1) уравнения (2.2) и при
(iii)
Принцип суперпозиции.
Если
(iv)
Если
независимы в том смысле, что равенство
(v)
Если
Поскольку матричным решением системы (2.3) является
det X(t)=p(t)W(t) и trA( t )=0. (vi) Тождество Лагранжа. Рассмотрим пару уравнений
где f=f(t), g = g (t) - непрерывные функции на J. Если умножить второе уравнение на и, первое-на v и результаты вычесть, мы получим, что
так как
где
(vii) В частности, из (v) следует, что и(t) и v(t) - линейно независимые решения уравнения (2.1) тогда и только тогда, когда в (2.7)(viii) Если(ix) В соответствии с результатами общей теории, в случае, когда известно одно решение
а после интегрирования мы будем иметь
где
а,
(х)
Пусть
и(t), v(t)
- решения уравнения
(2.1),
удовлетворяющие
(2.7) с
(проще проверить это непосредственно). Общее решение уравнения
(2.2)
получается прибавлением к
(2.13)
общего решения
Если замкнутый ограниченный интервал [a,b] содержится в J , то, полагая
мы получаем из (2.14) частное решение
Оно может быть записано в виде
где
матрица С (t) зависит от
(xii)
Если известно частное решение
Функция z удовлетворяет дифференциальному уравнению
Умножая его на
или, в силу (2.27) , что
т. е. подстановка
(2.29)
приводит уравнение
(2.1)
к
(2.30)
или к
(2.31
). Мы могли также начинать не с решения
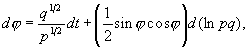
(xiii) Подстановка Лиувилля. В качестве частного случая рассмотрим (2.1) с р (t) = 1:и" + q (t) и = 0. (2.32) Предположим, что функция q (t) имеет непрерывную производную второго порядка, вещественна и не равна нулю, так что ±q (t) > 0, где ± = sgn q (t) (2.33)не зависит от t. Рассмотрим вариацию постоянных
Тогда
(2.32)
сводится к
(2.30),
где
Замена независимых переменных
переводит (2.35) в уравнение
где
а аргументом функции q и ее производных служит функция t = t (s), обратная к функции s = s ( f), определяемой из (2.36) с помощью квадратуры; см. (1.7). В этих формулах штрих означает дифференцирование по t , так что q' = dqldt. Замена переменных (2.34), (2.36) называется подстановкой Лиувилля. Эта подстановка, или повторное применение ее, часто приводит к дифференциальному уравнению типа (2.37), в котором функция f (s) “близка” к постоянной . Простой предельный случай такой подстановки см. в упр. 1.1(с). (xiv) Уравнения Риккати. В п. (xi), (xii) и (xiii) рассматривались преобразования уравнения (2.1) в различные линейные уравнения второго порядка или в соответствующие линейные системы двух уравнений первого порядка. Иногда удобно преобразовать (2.1) в соответствующее нелинейное уравнение или систему. Для этого чаще всего используется следующий метод. Пусть
так что
Это уравнение называется уравнением
Риккати
, соответствующим
(2.1).
(В общем случае уравнение вида
Читателю предоставляется проверка того факта, что если
и (t) -
решение уравнения
(2.1),
не равное нулю на
t
- интервале
уравнения (2.1), не равное нулю ни в одной точке из J'.
(xv)
Преобразование Прюфера.
В случае, когда уравнение
(2.1)
имеет вещественные коэффициенты, часто используется следующее преобразование
.
Пусть
Поскольку
и
и
и'
не могут обратиться в нуль одновременно, то, фиксируя соответствующее значение функции
В уравнение
(2.43)
входит лишь одна из неизвестных функций
Преимущество уравнения (2.43) по сравнению с (2.40) состоит в том, что всякое решение уравнения (2.43) существует на всем интервале J , где непрерывны р и q. Это видно из соотношения, связывающего решения уравнений (2.1) и (2.43).
Упражнение 2.1
.
Проверьте, что если функция
при фиксированном значении
Соотношения
(2.46)
и
(2.47)
следует понимать так, что интегралы Римана - Стильтьеса от обеих их частей равны. Обратно, (непрерывные) решения системы уравнений
(2.46), (2.47)
определяют решения уравнения
(2.1)
с помощью соотношений
(2.45).
Заметим, что если
q (t)
> 0,
р (t)
> 0
и функция
q(t) р
(
t
)
имеет локально ограниченную вариацию, то, полагая
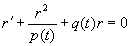
§ 3 . Теоремы Штурма
В этом параграфе мы будем рассматривать только уравнение вида (2.1) с вещественными непрерывными коэффициентами
р (t)
> 0,
q (t).
Под “решением” мы будем понимать “вещественное, нетривиальное (т. е.
Лемма 3.1.
Пусть
Доказательство.
Заметим, что в той точке
t
,
где
u=0
, т. е. где
В теоремах этого параграфа будут рассматриваться два уравнения
где функции
В этом случае уравнение (3.1) называется мажорантой Штурма для (3.1) на J , а уравнение (3.1) -минорантой Штурма для (3.1). Если дополнительно известно, что соотношения
или
выполняются в некоторой точке
Теорема 3.1
(первая теорема сравнения Штурма).
Пусть коэффициенты уравнения
при
Доказательство.
В силу (3.4) можно определить при
Тогда справедливы аналоги соотношения (2.43):
Поскольку непрерывные функции
Чтобы доказать последнюю часть теоремы, предположим вначале, что при
Рассмотрим теперь тот случай, когда в (3.4) имеет место равенство, но в некоторой точке из
где
Если доказываемое утверждение неверно, то из уже рассмотренного случая следует, что
Следовательно, если
Следствие
3.1 (теорема Штурма о разделении нулей).
Пусть уравнение
(3.1
2
)
является мажорантой Штурма для
(3.1
1
)
на интервале J, и пусть
Заметим, что, последнее утверждение этой теоремы имеет смысл, поскольку нули функций
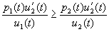
Упражнение 3.1 . (Другое доказательство теоремы Штурма о разделении нулей, когда p 1 (t) º p 2 (t)>0, q 2 (t) ³ q 1 (t).) Предположим, что u 1 (t)>0 при t 1 <t 2 <t 3 и утверждение неверно: например, u 2 (t)>0 при t 1 £ t £ t 2 . Умножая (p 1 (t)u ¢ ) ¢ +q 1 (t)u=0, где u=u 1 , на u 2 , а (p 2 (t)u ¢ ) ¢ +q 2 (t)u=0, где u=u 2 , на u 1 , вычитая и интегрируя по [t 1, t 2 ], получаем: p(t)(u 1 ¢ u 2 -u 1 u 2 ¢ ) ³ 0, при t 1 £ t £ t 2 , где p=p 1 =p 2 . Это означает, что (u 1 /u 2 ) ¢ ³ 0; поэтому u 1 /u 2 >0 при t 1 <t £ t 2 , т.е. получается, что u 1 (t 2 )>0 чего быть не может. Решение: (p 1 (t)u ¢ ) ¢ +q 1 (t)u=0, u=u 1 (p 1 (t)u 1 ¢ ) ¢ +q 1 (t)u 1 =0. Умножим левую часть равенства на u 2 , получим: u 2 (p 1 (t)u 1 ¢ ) ¢ +q 1 (t)u 1 u 2 =0. Во втором уравнении проделаем соответствующие операции: (p 2 (t)u ¢ ) ¢ +q 2 (t)u=0, u 2 =u (p 2 (t)u 2 ¢ ) ¢ +q 2 (t)u 2 =0. Умножим левую часть равенства на u 1 , получим: u 1 (p 2 (t)u 2 ¢ ) ¢ +q 2 (t)u 1 u 2 =0. Вычитаем из первого уравнения второе, получим: u 2 (p 1 u 1 ¢ ) ¢ +q 1 u 1 u 2 -u 1 (p 2 u 2 ¢ ) ¢ -q 2 u 1 u 2 =0, p=p 1 =p 2 u 2 (pu 1 ¢ ) ¢ +q 1 u 1 u 2 -u 1 (pu 2 ¢ ) ¢ -q 2 u 1 u 2 =0 (u 2 (pu 1 ¢ ) ¢ -u 1 (pu 2 ¢ ) ¢ )+u 1 u 2 (q 1 -q 2 )=0 Упростим это уравнение, u 2 (p ¢ u 1 ¢ +pu 1 ¢ ¢ )-u 1 (p ¢ u 2 ¢ +pu 2 ¢ ¢ )+u 1 u 2 (q 1 -q 2 )=0 Раскроем скобки, получим: p ¢ u 1 ¢ u 2 + pu 1 ¢ ¢ u 2 - p ¢ u 1 u 2 ¢ -pu 1 u 2 ¢ ¢ +u 1 u 2 (q 1 -q 2 )=0. Сравнивая с формулой (2.2), получаем: (p(u 1 ¢ u 2 -u 1 u 2 ¢ )) ¢ +u 1 u 2 (q 1 -q 2 )=0 (p(u 1 ¢ u 2 -u 1 u 2 ¢ )) ¢ -u 1 u 2 (q 2 -q 1 )=0 (p(u 1 ¢ u 2 -u 1 u 2 ¢ )) ¢ =u 1 u 2 (q 2 -q 1 )=0. Проинтегрируем это уравнение по [t 1 ,t], получим:
u 1 u 2 >0, q 2 -q 1 ³ 0. Значит p(u 1 ¢ u 2 -u 1 u 2 ¢ ) ³ 0. Т.о. (u 1 /u 2 ) ¢ ³ 0 Þ u 1 /u 2 >0.
Упражнение 3.2.
с) Проверьте, что вещественные решения u(t)
¹
0 уравнения u
¢
¢
+
m
/t
2
u=0 (1/17) имеет не более одного нуля при t>0, если
m
£
Решение: в §1 было рассмотрено упражнение 1.1 с), где показали, что функция u=t
l
является решением уравнения u
¢
¢
+
m
/t
2
u=0 тогда и только тогда, когда
l
удовлетворяет уравнению
l
(
l
-1)+
m
=0. Решая его получили :
l
=
Если m >1/4, то корни l 1 и l 2 – комплексные, т.е.
u=t
1/2
[cos (
имеют бесчисленное множество нулей. В частности, если положить: c 1 =sinu ,c 2 =cosu, то получим:
u= t
1/2
[sin u cos (
t
1/2
[sin (u+
Если m <1/4, то решение u=с 1 t 1/2+ +c 2 t 1/2- имеют не более одного нуля. Так же, если m =1/4, то решение u=c 1 t 1/2 +c 2 t 1/2 ln t имеют не более одного нуля. d) Рассмотрим уравнение Бесселя: v ¢ ¢ +v ¢ /t+(1- m 2 /t 2 )v=0, (3.10) где m -вещественный параметр. Вариация постоянных u=t 1/2 /v переводит уравнение (3.10) в уравнение: u ¢ ¢ +(1- a /t 2 )u=0, где a = m 2 -1/4 (3.11) Проверим истинность этого утверждения u=t 1/2 v, следовательно: v=u/t 1/2 =ut -1/2. Найдём первую производную: v ¢ =(ut -1/2 ) ¢ =u ¢ t -1/2 +u(t -1/2 ) ¢ =u ¢ t -1/2 -1/2ut -3/2 . Теперь вторую производную: v ¢ ¢ =(u ¢ t 1/2 ) ¢ -1/2(ut -3/2 ) ¢ =u ¢ ¢ t -1/2 +u ¢ (t -1/2 ) ¢ -1/2(u ¢ t -3/2 +u(t -3/2 ) ¢ )= =u ¢ ¢ t -1/2 –1/2u ¢ t -3/2 -1/2u ¢ t -3/2 +3/4uut -5/2 = =u ¢ ¢ t -1/2 -u ¢ t -3/2 +3/4ut -5/2 . Подставляя в уравнение (3.10), получим: v ¢ ¢ +v ¢ /t+(1- m 2 /t 2 )v=0. u ¢ ¢ t -1/2 -u ¢ t -3/2 +3/4ut -5/2 +1/t(u ¢ t -1/2 -1/2ut -3/2 )+(1- m 2 /t 2 )ut -1/2 =0 t -1/2 (u ¢ ¢ -u ¢ t -1 +3/4ut -2 +u ¢ t -1 -1/2ut -2 +u(1- m 2 /t 2 ))=0 u ¢ ¢ +1/4ut -2 +u(1- m 2 /t 2 )=0 u ¢ ¢ +u- m 2 u/t 2 +1/4ut -2 =0 u ¢ ¢ +u-( m 2 u-1/4u)/t 2 =0 u ¢ ¢ +u-(( m 2 -1/4)u)/t 2 =0 u ¢ ¢ +u- a u/t 2 =0 u ¢ ¢ +(1- a /t 2 )u=0, где a = m 2 -1/4. Покажем, что нули вещественного решения v(t) уравнения (3.10) образуют при t>0 такую последовательность t 1 <t 2 <…, что t n -t n-1 ® p при n ® ¥ . Так как в уравнении u ¢ ¢ +(1- a /t 2 )u=0, т.е. уравнение u ¢ ¢ +(1-( m 2 -1/4)/t 2 )u=0 m - постоянное число, то при m ³ 1/4 и при t – достаточно большое, то выражение 1-( m 2 -1/4)/t 2 ® 1, т.е. если уравнение u ¢ ¢ +(1-( m 2 -1/4)/t 2 )u=0 сравнить с уравнением u ¢ ¢ +u=0, то расстояние между последовательными нулями стремится к p , т.е. t n -t n-1 ® p при n ® ¥ .
Теорема 3.2
(вторая теорема сравнения Штурма).
Пусть выполнены условия первой части теоремы
3.1
и функция
Доказательство
этого утверждения содержится по существу в доказательстве теоремы 3.1, если заметить, что из предположения о числе нулей функции
Использованная литература:
Поделитесь этой записью или добавьте в закладки |
Полезные публикации |
(1.4)
(1.7)
(1.9)
(1.10)
(2.10)
, (2.11)
, (2.12)
; (2.13)
. (2.14)
,
(2.35)
(2.38)
(2.41)
Главная