ВЕКТОРНАЯ АЛГЕБРАВЕКТОРНАЯ АЛГЕБРА - раздел векторного исчисления в котором изучаются простейшие операции над (свободными) векторами. К числу операций относятся линейные операции над векторами: операция сложения векторов и умножения вектора на число. Суммой a+b векторов a и b называют вектор , проведенный из начала a к концу b , если конец a и начало b совмещены. Операция сложения векторов обладает свойствами: a+b=b+a (коммутативность) (а+b)*с=а*(b+с) (ассоциативность) a + 0=a (наличие нулевого элемента ) a+(-a)=0 (наличие противоположного элемента), где 0 - нулевой вектор, - a есть вектор, противоположный вектору а . Разностью a-b векторов a и b называют вектор x такой, что x+b=a. Произведением l x вектора а на число l в случае l № 0 , а № О называют вектор, модуль которого равен | l ||a| и который направлен в ту же сторону, что и вектор a , если l >0, и в противоположную, если l <0 . Если l =0 или (и) a =0, то l a=0 . Операция умножения вектора на число обладает свойствами: l *(a+b)= l *a+ l *b (дистрибутивность относительно сложения векторов) ( l +u)*a= l *a+u*a (дистрибутивность относительно сложения чисел) l *(u*a)=( l *u)*a (ассоциативность) 1*a=a (умножение на единицу) Множество всех векторов пространства с введенными в нем операциями сложения и умножения на число образует векторное пространство (линейное пространство). В Векторной алгебре важное значение имеет понятие линейной зависимости векторов. Векторы а, b, … , с называются линейно зависимыми векторами, если существуют числа a , b ,…, g из которых хотя бы одно отлично от нуля, такие, что справедливо равенство: a a+ b b+… g c=0. (1) Для линейной зависимости двух векторов необходима и достаточна их коллинеарность, для линейной зависимости трех векторов необходима и достаточна их компланарность. Если один из векторов а, b, ...,c нулевой, то они линейно зависимы. Векторы a,b, ..,с называются линейно независимыми, если из равенства (1) следует, что числа a , b ,…, g равны нулю. На плоскости существует не более двух, а в трехмерном пространстве не более трех линейно независимых векторов. Совокупность трех (двух) линейно независимых векторов e 1 ,e 2 ,e 3 трехмерного пространства (плоскости), взятых в определенном порядке, образует базис. Любой вектор а единственным образом представляется в виде суммы: a=a 1 e 1 +a 2 e 2 +a 3 e 3 . Числа a 1 ,a 2 ,a 3 называют координатами (компонентами) вектора а в данном базисе и пишут a={a 1 ,a 2 ,a 3 } . Два вектора a={a 1 ,a 2 ,a 3 } и b={b 1 ,b 2 ,b 3 } равны тогда и только тогда, когда равны их соответствующие координаты в одном и том же базисе. Необходимым и достаточным условием коллинеарности векторов a={a 1 ,a 2 ,a 3 } и b={b 1 ,b 2 ,b 3 } ,b № 0, является пропорциональность их соответствующих координат: a 1 = l b 1 ,a 2 = l b 2 ,a 3 = l b 3 . Необходимым и достаточным условием компланарности трех векторов a={a 1 ,a 2 ,a 3 } , b={b 1 ,b 2 ,b 3 } и c={c 1 ,c 2 ,c 3 } является равенство : | a 1 a 2 a 3 | | b 1 b 2 b 3 | = 0 | c 1 c 2 c 3 | Линейные операции над векторами сводятся к линейным операциям над координатами. Координаты суммы векторов a={a 1 ,a 2 ,a 3 } и b={b 1 ,b 2 ,b 3 } равны суммам соответствующих координат: a+b={a 1 +b 1 ,a 2 +b 2 ,a 3 +b 3 } . Координаты произведения вектора а на число l равны произведениям координат а на l : l а= { l а 1 , l a 2 , l a 3 }. Скалярным произведением (а, b) ненулевых векторов а и b называют произведение их модулей на косинус угла j между ними: (а, b) = | а |*| b | cos j . За j принимается угол между векторами, не превосходящий p . Если а=0 или b=0 , то скалярное произведение полагают равным нулю. Скалярное произведение обладает свойствами: (a, b)= (b, а) (коммутативность), (a,b+с)= (a,b) + (а,с) (дистрибутивность относительно сложения векторов), l (a,b)=( l a,b) =(a, l 6) (сочетательность относительно умножения на число), (a,b)=0, лишь если а=0 или (и) b=0 или a ^ b. Для вычисления скалярных произведений векторов часто пользуются декартовыми прямоугольными координатами, т.е. координатами векторов в базисе, состоящем из единичных взаимно перпендикулярных векторов (ортов) i, j, k ( ортонормированный базис). Скалярное произведение векторов : a={a 1 ,a 2 ,a 3 } и b={b 1 ,b 2 ,b 3 } заданных в ортонормированном базисе, вычисляется по формуле:
(a,b)=a 1 b 1 +a 2 b 2 +a 3 b 3
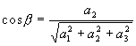
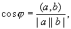
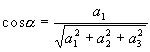
Косинус угла j между ненулевыми векторами a={a 1 ,a 2 ,a 3 } и b={b 1 ,b 2 ,b 3 } может быть вычислен по формуле:
где
Косинусы углов вектора a={a 1 ,a 2 ,a 3 } с векторами базиса i, j, k называют. направляющими косинусами вектора а:
Направляющие косинусы обладают следующим свойством: cos 2 a +cos 2 b +cos 2 g =1 Осью называется прямая с лежащим на ней единичным вектором е-ортом, задающим положительное направление на прямой. Проекцией Пр. е а вектора a на ось называют направленный отрезок на оси, алгебраическое значение которого равно скалярному произведению вектора а на вектор е . Проекции обладают свойствами: Пр. е (a+b)= Пр. е a+ Пр. е b (аддитивность), Пр. е a = Пр. е l a (однородность). Каждая координата вектора в ортонормированном базисе равна проекции этого вектора на ось, определяемую соответствующим вектором базиса. В пространстве различают правые и левые тройки векторов. Тройка некомпланарных векторов а, b, с называется правой, если наблюдателю из их общего начала обход концов векторов a, b, с в указанном порядке кажется совершающимся по часовой стрелке. В противном случае a,b,c - левая тройка. Правая (левая) тройка векторов располагается так, как могут быть расположены соответственно большой, несогнутый указательный и средний пальцы правой (левой) руки(см. рис). Все правые (или левые) тройки векторов называются одинаково ориентированными. b b
c c a a правило левой руки правило правой руки Ниже тройку векторов i,j,k следует считать правой . Пусть на плоскости задано направление положительного вращения (от i к j ). Псевдоскалярным произведением aVb ненулевых векторов a и b называют произведение их модулей на синус угла j положительного вращения от a к k : aVb=| a || b |*sin j Псевдоскалярное произведение нулевых векторов полагают равным нулю. Псевдоскалярное произведение обладает свойствами: aVb=-bVa (антикоммутативность), aV (b+c)=aVb+aVc (дистрибутивность относительно сложения векторов), l (aVb)= l aVb (сочетательность относительно умножения на число), aVb=0, лишь если а=0 или (и) b=0 или а и b коллинеарны. Если в ортонормированном базисе векторы а и и имеют координаты {a 1 ,a 2 } {b 1 ,b 2 }, то : aVb=a 1 b 1 -a 2 b 2.
Поделитесь этой записью или добавьте в закладки |
Полезные публикации |
,
,
.
Главная