Принципы измерения расстояний и линейных перемещений С О Д Е Р Ж А Н И Е Принципы измерения расстояний и линейных перемещений....................3 2 Описание принципа работы и оптических схем интерферометров со счетом полос..............................................................................................5 2.1 Интерферометр со счетом полос на основе квадратурных сигналов........5
3 Исследование погрешности измерения перемещений................................10
перемещений 3.2 Исследование погрешности показателя преломления воздуха...................11
3.4 Определение положения ближней и дальней зоны.....................................14 ПРИЛОЖЕНИЯ......................................................................................................15 СПИСОК ЛИТЕРАТУРЫ ....................................................................................25 1. Принципы измерения расстояний и линейных перемещений Обобщенная схема измерения расстояний и линейных перемещений посредством ЛИС на основе двухлучевого интерферометра изображена на рис. 1а.
Рассматривая принципы и методы измерения, излучение лазера 1 будем считать идеальной плоской волной. Интерферометр, состоящий из светоделителя 2, опорного отра- жателя 3 и измерительного отражателя 4, настроен на бесконечно широкую полосу. Интенсивность интерференционного сигнала I на фо- топриемнике 5 изменяется по закону (рис. 1б) I=I 0 +I ~ * COS (??L??), (1) где I 0 и I ~ - постоянная составляющая и амплитуда переменной сос- тавляющей сигнала соответственно; 2L - геометрическая разность хода интерферирующих пучков; ? - длина волны излучения. Расстояние от нуля интерферометра О до измерительного отра- жателя 4:
где P - порядок интерференции, ? - фаза интерференционного сигна- ла I, определяемого формулой (1).
2 Описание принципа работы и оптических схем интерферометров со счетом полос. Метод счета полос заключается в измерении (счете) числа пе- риодов изменения интерференционного сигнала при изменении ГРХ. Для предотвращения ложного счета вследствие механических вибраций и турбулентности воздуха осуществляют реверсивный счет, при кото- ром определяют знак каждого счетного периода приращения порядка интерференции. Применяют два способа реверсивного счета полос. 2.1 Интерферометр со счетом полос на основе квадратурных сигналов Квадратурными называют два сигнала, содержащие информацию об одной и той же ГРХ, но сдвинутые по фазе на ?/2: I 1 (t)=I1 0 +I1 ~ *COS[?(t)] , (3) I 2 (t)=I2 0 +I2 ~ *SIN[?(t)] .
Фиксируя пересечения сигналами (3) среднего уровня (рис. 2б), измеряют приращения ГРХ c дискретой ?/4. Знак каждой дискреты оп- ределяют по фазовому сдвигу между сигналами, который в зависимости от направления изменения ГРХ равен ?/2 или 3?? /2.
На рис. 2а изображена схема ЛИС, где квадратурные сигналы получают оптическим способом. Плоскость поляризации излучения од- ночастотного лазера 1 составляет угол 45 0 с плоскостью чертежа. Фазовая пластина ?/8 - позиция 3, одна из собственных осей кото- рой лежит в плоскости чертежа, вносит в интерферометр, образован- ный светоделительной призмой-куб 2 и отражателями 4, разность ГРХ, равную ? /4, для составляющих излучения лазера параллельной и перпендикулярной плоскости чертежа. Поляризационная призма-куб 6 разделяет эти составляющие. В результате интерференционные сигна- лы I1 и I2 на фотоприемниках 6 сдвинуты по фазе на ?/2. Информационный спектр сигналов (3) содержит постоянные сос- тавляющие I1 0 и I2 0 . Подобные ЛИС называют системами без переноса спектра сигнала или системами "постоянного тока". Метод счета полос на основе квадратурных интерференционных сигналов не ограничивает скорость изменения и максимальное значе- ние диапазона измеряемых расстояний. Время измерения в ЛИС, рабо- тающих на основе этого метода, определяется только пропускной способностью электронного тракта и может составлять сотые доли микросекунды (скорость счета полос 100 МГц), что при дискpете ?/4 соответствует скорости приращения ГРХ 16 м/с. Измеряемые расстоя- ния превышают десятки метров. Минимальную погрешность измерения расстояния определяет дискрета счета, чаще всего равная??/8. 2.2 Интерферометр со счетом полос на основе частотной модуляции
На рис. 3а приведен пример схемы ЛИС. Двухчастотный лазер 1 излучает две волны с частотами ?1 и ?2, одна из которых поляризо- вана параллельно, а другая - перпендикулярно плоскости чертежа. Светоделитель 2 отклоняет часть излучения каждой частоты для фор- мирования опорного сигнала I 0 . Поляризационная призма-куб 3 раз- деляет составляющие излучения разных частот и направляет их в разные плечи интерферометра. Пластины ?/4 - позиция 7, оптические оси которых составляют угол 45 0 с плоскостью чертежа, меняют сос- тояние поляризации дважды прошедших пучков на ортогональное. По- ляризационная призма-куб 3 обеспечивает суперпозицию пучков, возвращенных отражателями 4 и 5, в направлении I 1 . После поляри- заторов 6, ось пропускания которых составляет угол 45 0 с плос- костью чертежа, в результате интерференции пучков с разными час- тотами образуются опорный I 0 и измерительный I 1 сигналы биения. Поскольку номенклатура двухчастотных лазеров и значения раз- ности частот, которые они обеспечивают, ограничены, в качестве источника излучения часто используют одночастотный лазер, сдвигая частоты ортогональных составляющих его излучения акустооптически- ми модуляторами, которые устанавливают на входе, выходе или в од- ном из плечей интерферометра . В этом случае опорный сигнал I0 может быть получен непосредственно из модулирующих сигналов, подаваемых на акустооптические модуляторы. Частота частотной модуляции, аналогично частоте фазовой модуляции, ограничивает время измерения . Однако при использовании акустооптических модуляторов она может быть установлена достаточно большой, чтобы этим ограничением можно было пренебречь. Тогда время однократного измерения фазы определяется временем задержки фазоизмерительного устройства и составляет для современных ЛИС около 10 мкс . Так как ЛИС на основе частотной модуляции обеспечивают время измерения на порядок меньше, чем ЛИС на основе фазовой модуляции, допустимые скорости изменения ГРХ в них на порядок выше. Эти ЛИС считаются в большей степени подходящими для высокоточных измерений в реальном масштабе времени . При равной погрешности они имеют несколько больший диапазон измерения ГРХ. На основе методов прямого измерения фазы разрабатывают ЛИС для измерения медленно меняющихся во времени и незначительных по величине расстояний с высокой точностью. Основная область применения таких ЛИС - контроль профиля и шероховатости поверхностей, в том числе оптических. Другая обширная сфера применения - интерференционные датчики физических величин, изменение которых можно преобразовать в изменение еометрической или оптической разности хода интерферирующих лучей (давление и влажность атмосферы, температура, напряженность электрического и магнитного полей и др.). Частотную модуляцию интерференционного сигнала обеспечивают путем суперпозиции двух волн разной оптической частоты. В этом случае закон изменения интенсивности имеет вид
где I1 и I2 - интенсивности, ?1 и ?2 - оптические частоты, ?1 и ?2 - фазы интерферирующих волн. Все переменные составляющие сигнала (4), кроме последней, вследствие высокой частоты не могут быть детектированы фотоприемником непосредственно. Выбирая близкие оптические частоты интерферирующих волн, получают частоту ?b=??1-??2 последней составляющей, удобную для обработки в фотоэлектронной системе. Эту частоту называют сигналом биения. Особенность сигнала биения в том, что даже в отсутствие изменения ГРХ между интерферирующими волнами интенсивность изменяется по гармоническому закону. Если одна из интерферирующих волн проходит дополнительный геометрический путь 2L, то сигнал биения получает дополнительный фазовый сдвиг ?=??L/?, эквивалентный фазе немодулированного интерференционного сигнала на длине волны ? при ГРХ интерферирующих лучей, равной 2L. Чтобы определить ГРХ, измеряют фазовый сдвиг (рис. 3б) ?(t)=???t*?b между опорным и измерительным сигналами биения: I0(t)=A 0 *COS[2?(?1-??2)t+(?1-?2)] , (5) I1(t)=A 1 *COS[2?(?1-??2)t+(?1-?2)+??(t)] ,
где A 0 и A 1 - их амплитуды. Вместо непрерывного измерения разности фаз между сигналами подсчитывают число биений каждого из них N0 и N1 и отслежи- вают разность ?N=N1-N0 (рис. 3в). Если ГРХ в интерферометре не меняется, частоты опорного и измерительного сигналов равны f ? =f 1 =??1???2, и ?N=0. При движении отражателя 4 частота биения измерительного сигнала становится равной f 1 =??1-??2+??, где ??=??(t) /??t. Изменение ГРХ равно ??L=?????=(N1-N0)*?. Знак при ?n зависит от направления движения отражателя 4. Связь между знаками ?L и ??? остается однозначной до тех пор, пока [???]<[??1-??2]. Чтобы исключить влияние низкочастотных шумов на ра- боту ЛИС, обеспечивают ¦???¦<[??1-??3]+?? ш , где ? ш - верхняя гранич- ная частота шумов. Таким образом, в ЛИС со счетом полос на основе частотной модуляции имеет место принципиальное ограничение ско- рости изменения измеряемых расстояний. В современных ЛИС она не превышает 1 м/с. При счете числа биений сигналов дискрета измерения при- ращений ГРХ равна ?. Для повышения точности измерения уменьшают дискрету счета, умножая частоты этих сигналов в электронной сис- теме. Чаще всего обеспечивают дискрету ?/64 . Метод счета полос на основе частотной модуляции, также как и на основе квадратурных интерференционных сигналов, не ограничива- ет максимальное значение измеряемых расстояниий, которые в из- вестных ЛИС достигают 100 м. ЛИС со счетом полос применяют для измерения больших расстоя- ний и быстрых линейных перемещений с интерференционной точностью. Благодаря достигнутому уровню технических характеристик и высокой надежности они находят широкое применение в метрологии (аттеста- ция станков и технологического оборудования, поверка вновь разра- батываемых интрументов измерения расстояний и т.д.). Очень перс- пективная область их применения - преобразователи линейных пере- мещений координатно-измерительных систем станков и технологичес- кого оборудования.
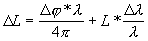
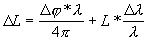
3 Исследование погрешности измерения перемещений. 3.1 Анализ основных состовляющих погрешности измерения перемещений. Физическими пределами, ограничивающими точность измерения, являются погрешность измерения фазы интерференционного сигнала ?? и относительная погрешность длины волны лазера ???? . Дифференцируя выражение (2), максимальную погрешность изме- рения расстояния можно записать следующим образом:
При измерении малых расстояний {ближней зоны }(L<<??? 2 /(4???)) ?L определяется только погрешностью ??. При измерении больших расстояний {дальней зоны}(L>>???? 2 /(4???)) ?L определяется величиной ????. В остальных случаях необходимо учитывать оба слагаемых в (6). Длина волны лазера в воздухе: ??? вак /n, где ? вак - длина вол- ны лазера в вакууме, n - показатель преломления воздуха. Поэтому погрешность длины волны содержит две составляющие:
где ?? вак - погрешность воспроизведения длины волны лазера в ва- куме, ?n - погрешность измерения показателя преломления воздуха.
Таблица 1
В табл. 1 приведены минимальные значения погрешностей, достигнутые на практике в ЛИС . В 1990 г. на международном симпозиуме "Измерение размеров в процессе производства и контроля качества" для промышленного при- менения ЛИС физическими пределами, ограничивающими точность изме- рений, было принято считать: относительную погрешность длины вол- ны лазера в вакууме 10 -10 ; показатель преломления воздуха - 10 -8 ; а физическими пределами точности измерения длины: 0.01 мкм для больших расстояний и 1 нм - для малых. 3.2 Исследование погрешности показателя преломления воздуха. Основные факторы влияющие на нестабильность показателя преломления воздуха это температура , влажность и давление. Очевидно возникает задача , которую необходимо решить - определение текущего показателя преломления воздуха . Применим метод измерения с помощью соответствующих датчиков значений температура t , влажности e и давления p. Применим для вычисления формулу Эдлена :
где (nc-1) - рефракция стандартного воздуха при t=15` и p=760 мм. Рт . ст.
Возьмем реальные граници изменения параметров среды: давление воздуха (720 - 790 мм. Рт. Ст.) температура (10 - 30 гр.С.) влажность (средняя 10 мм. Рт. Ст.) длинна волны излучения лазера в вакуме (из док .на лазер ?????????мкм) Вычисления по формуле Эдлена дали результат :
Из получившихся результатов можно сделать вывод , что показатель приломления воздуха увеличивается при увеличении давления и уменьшении температуры . Максимальный показатель приломления воздуха будет при t=10 0 и давлении P=790 мм.рт.ст. n MAX =1.000292 Минимальный показатель приломления воздуха будет при t=30 0 и давлении P=720 мм.рт.ст. n MIN =1.000248 Определим среднее значение погрешности изменения показателя преломления воздуха без учета параметров среды : ?n=(n MAX -n MIN )/2 ?n/n= 2.200*10 -5 Определим максимальное значение погрешности изменения показателя преломления воздуха с учетом параметров среды : Определим точность измерения датчиков как: ?p=0.1 мм. Рт. Ст. (для датчика давления) ?t=0.1 мм. Рт. Ст. (для датчика температуры) Для нахождения максимальной значение погрешности необходимо продеференцировать формулу Эдлена и возьмем сумму дифференциалов для случия максимального значения погрешности:
Проведем анализ результатов полученных при помощи пограммы MathCad 7.0 См. Приложение (1). Результатом является определение максимальнолй погрешности изменения показателя преломления при изменении параметров среды :
Соответственно из полученных данных видно , что максимальное значение погрешности изменения показателя преломления при изменении параметров среды будет наблюдаться при температуре 10 0 и давлении 790 мм. Рт. Ст. ?n/n= 1.406*10 -7 3.3 Определение погрешности измерения расстояний . Поставим задачу исследования : т.к на погрешность измерения перемещений влияет погрешность длинны волны и нестабильности атмосферных условий то определим когда решающей будет погрешность длинны волны , а когда нестабильности атмосферных условий. Исследуем диапазон изменения погрешности длинны волны при значениях ?? вак ????? ?? ,??? вак ????? ?? ,??? вак ????? ?? Имеем расчитанные значения погрешности изменения показателя преломления такие как : ?n/n= 1.406*10 -7 ,???n/n= 2.200*10 -5 Диапазон изменения ??? имеем два значения дискреты счета , такие как : ??????????????????????? Исследуем диапазон измерения длин в интервале : L=(1 мкм до 1 м) Исследование проведено при помощи пограммы MathCad 7.0 по формуле (8) См. Приложение (2) После расчета из получившихся зависимостей можно выделить основные три группы:
Решающие влияние оказывает погрешность длинны волны и нестабильность атмосферных условий. случай : ?? вак ????? ?? , ?n/n= 2.2*10 -5 случай : ?? вак ????? ?? , ?n/n= 1.406*10 -7 2. ??????? ?? Решающие влияние оказывает погрешность длинны волны и нестабильность атмосферных условий. случай : ?? вак ????? ?? , ?n/n= 1.406*10 -7
3. ??????? ?? Решающие влияние оказывает нестабильность атмосферных условий , но на сегоднешний день реальна погрешность длинны волны??? вак ????? ??? ?? случай : ?? вак ????? ?? , ?n/n= 1.406*10 -7 3.4 Определение положения ближней и дальней зоны . Определим граничные значения для ближней и дальней зоны : Будем считать что дальняя зона или ближняя зона будет при условии , что в погрешности измерения перемещений:
дальней зоной будем считать условие:
примем для дальней зона К=10, а ближней зоной будем считать условие:
примем для ближней зоны К=0.1 .
Проведем расчеты по программе MathCad 7.0 см приложение 3 и получим :
СПИСОК ЛИТЕРАТУРЫ
Рукопись.
2.Коронкевич В.П. Ленкова Р.А. Лазерные измерительные устройства журнал “Автометрия ”. Поделитесь этой записью или добавьте в закладки |
Полезные публикации | ||||||||||||||||||||||||||||||||||||||||||||||||||||||||||||||||||||||||||||||||||||||||||||||||||||||
Главная