Эквивалентность пяти классов функций элементарных по Кальмару
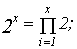
Определение. Функция называется элементарной по Кальмару, если ее можно получить й из функций s 1 , I n m , x+y, x-y, S, а также конечного применения операций суммирования и мультиплицирования. Определим пять классов функций, элементарных по Кальмару. L 1 Класс функций, получаемый из функций s 1 , I n m , x+y, x-y, S, а также конечного применения операций суммирования и мультиплицирования. L 2 Класс функций, получаемый из функций s 1 , I n m , x-y, 2 x ,S, а также конечного применения операции суммирования. L 3 Класс функций, получаемый из функций s 1 , I n m , x-y, x*y, 2 x ,S, а также конечного применения операции ограниченной минимизации. L 4 Класс функций, получаемый из функций s 1 , I n m , x-y, x+y 2 x ,S, а также конечного применения операции ограниченной рекурсии. L 5 Класс функций, получаемый из функций s 1 , I n m , x-y, x*y, S, а также конечного применения операции мультиплицирования. Доказательство будем проводить по следующей схеме: 1. L 1 L 2 L 3 L 4 L 1 2. L 1 L 5 3. L 5 L 3 Докажем, что L 1 L 2 (для этого выразим 2 x через функции L 1 )
Докажем, что L 2 L 3 (для этого выразим x*y и операцию ограниченной минимизации через функции L 2 )
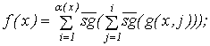
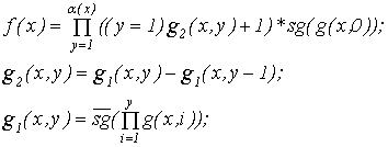
Пусть
Докажем, что L 3 L 4 (для этого выразим x+y и операцию ограниченной рекурсии через функции L 3 )
Выразим операцию ограниченной рекурсии на основании следующего свойства функции Геделя.
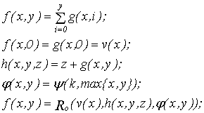
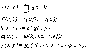
Пусть
Отношение, примененное в операция конечной минимизации, является элементарным по Кальмару. Докажем, что L 4 L 1 (для этого выразим операции суммирования и мультиплицирования через функции L 4 ) Выразим м3ультиплицирование через ограниченную рекурсию.
Где (x,y)-к-ступенчатая функция. Выразим суммирование через ограниченную рекурсию.
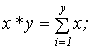
Докажем, что L 1 L 5 (для этого выразим x*y через функции L 5 )
Докажем, что L 5 L 3 (для этого выразим 2 x и операцию ограниченной минимизации выразим через функции L 5 )
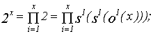
Пусть
Эквивалентность классов доказана. Поделитесь этой записью или добавьте в закладки |
Полезные публикации |
Главная