Критерий устойчивости линейных систем.
Устойчивость линейных систем.
В реальной цепи, охваченной обратной связью, всегда имеются реактивные элементы, накапливающие энергию. Даже в усилителе на резисторах имеются такие элементы в виде паразитных емкостей схемы или усилительных приборов, индуктивности проводов и так далее. Эти реактивные элементы создают дополнительные фазовые сдвиги и если на какой-либо частоте они в сумме дают дополнительный угол в 180, то обратная связь превращается из отрицательной в положительную и создаются условия для паразитной генерации.
Это обстоятельство во многих случаях существенно ограничивает эффективность применения обратной связи, так как при больших значениях ½ K y K o c ½ для устранения паразитной генерации требуются специальные устройства (фазокомпенсаторы и др.), уменьшающие крутизну ФЧХ в кольце обратной связи. Однако оказывается, что введение в схему новых элементов приводит лишь к сдвигу частоты паразитной генерации в область очень низких или очень высоких частот.
Итак, из выше сказанного следует, что применение обратной связи тесно связано с проблемой обеспечения устойчивости цепи. Для правильного построения цепи и выбора ее параметров большое значение приобретают методы определения устойчивости цепи. Рассмотрим некоторые из них.
Алгебраические критерии устойчивости.
В настоящее время известно несколько критериев, различающихся больше по форме, чем по содержанию. В основе большинства из этих критериев лежит критерий устойчивости решений дифференциального уравнения, описывающего исследуемую цепь.
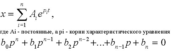
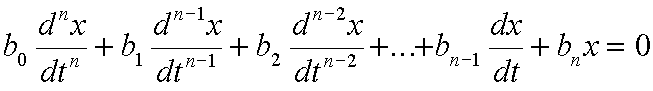
Пусть линейное однородное уравнение для цепи с постоянными параметрами задано в форме :
Решение этого уравнения имеет вид :
Условие устойчивости состояния покоя цепи заключается в том, что после прекращения действия внешних возмущений цепь возвращается в исходное состояние. Для этого необходимо, чтобы возникающие в цепи при нарушении состояния покоя свободные токи и напряжения были затухающими. А это означает, что корни уравнения (1) должны быть либо отрицательными действительными величинами, либо комплексными величинами с отрицательными действительными частями. Из этих представлений вытекает следующий фундаментальный критерий устойчивости любых линейных систем :
“Cистема устойчива, если действительные части всех корней характеристического уравнения отрицательны.” Это фундаментальное положение было основано А.М.Ляпуновым, который в 90-х годах прошлого века заложил основы теории устойчивости. В связи с этим приведенный выше критерий называют критерием Ляпунова. Заметим, что левая часть характеристического уравнения (1) представляет собой не что иное, как знаменатель передаточной функции цепи записанной в форме
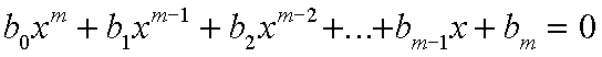
Таким образом, корни характеристического уравнения цепи являются полюсами передаточной функции К(р) этой цепи. Отсюда следует, что сформулированные выше условия отрицательности действительных корней равносильны следующему утверждению : для устойчивости цепи необ-ходимо, чтобы передаточная функция К(р) не имела полю-сов в правой полуплоскости комплексной переменной р. В тех случаях, когда цепь описывается дифференциальным уравнением высокого порядка, исследование корней характеристического уравнения, необходимое для решения вопроса об устойчивости системы, является сложной задачей. Однако ее можно решить, анализируя соотношения между коэффициентами уравнения без определения самих коэффициентов. Это можно сделать с помощью теоремы Гурвица, которая утверждает, что для того, чтобы действительные части всех корней уравнения
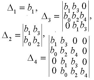
c действительными коэффициентами и b0>0 были отрицательными, необходимо и достаточно, чтобы были положительными все определители D 1, D 2, ..., D m, составленные из коэффициентов уравнения по следующей схеме :
и т. д. Сформулированный алгебраический критерий устойчивости называют критерием Рауса - Гурвица. При составлении определителей по указанной схеме коэффициенты с индексом, превышающим степень характеристического уравнения заменяют нулями. Поэтому для уравнения четвертой степени получаются следующие определители :
Критерий Рауса - Гурвица особенно удобен для проверки устойчивости цепи с заданными параметрами: вычисления относительно просты. Недостатком этого критерия является ограниченность применения: область применения критерия ограничена цепями с сосредоточенными параметрами, поскольку только для них передаточная функция выражается через многочлены. Кроме того этот критерий не дает ясных указаний на то как из неустойчивой цепи сделать устойчивую.
Геометрические критерии устойчивости.
Требование, чтобы передаточная функция
не имела полюсов в правой полуплоскости р = s + i w , т.е. в области, ограниченной полуплоскостью бесконечно большого радиуса R и осью i w (см. рисунок), равносильно условию, что знаменатель выражения (2) не должен иметь нулей в указанной области или, что то же, функция
не должна обращаться в единицу ни в одной из точек правой полуплоскости р.
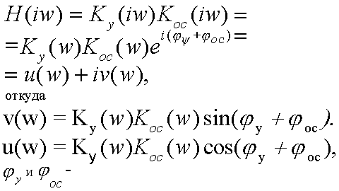
Но Н(р) представляет собой передаточную функцию разомкнутого кольца обратной связи, то есть отношение напряжения на зажимах 2-2 к напряжению на зажимах 1-1 при разомкнутой системе, как это показано на рисунке 2. Для дальнейшего анализа перейдем от комплексной плоскости р на другую комплексную плоскость Н(р)=u+i (см. рисунок 3).
При этом каждой точке р плоскости s , i w соответствует определенное значение Н на плоскости u,iv. И любой замкнутый контур на плоскости перейдет в некий, также замкнутый контур на плоскости Н. Если исходный контур на плоскости р задан в виде контура как на рисунке 1, то соответствующий ему контур на плоскости Н называется годографом функции Н. Показанный на рисунке 1 контур можно разбить на два участка : прямую iw от ¥ до - ¥ и полуокружность бесконечно большого радиуса R. На первом участке, где s = 0 , р= i w , функция H(p) обращается в функцию H( i w ).В соответствии с выражением (*) этот участок преобразуется на плоскости H в линию, определяемую следующим соотношением:
В этих выражениях аргументы передаточных функций соответственно четырехполюсников
На втором рисунке контура (см. рисунок 1) при R ® ¥ функция H(p) ® 0. Это вытекает из общего выражения
которое при ½ p ½ ® ¥ можно представить в виде (под В подразумевается постоянный коэффициент, а p 0i и p пi - соответственно нули и полюсы функции К(р)). Совершенно аналогично и функцию Н(р) при ½ p ½ ® ¥ можно представить в форме H(p) = Ap n-m где n и m - числа соответственно нулей и полюсов функции Н(р). При n < m и ½ p ½ ® ¥ модуль функции H(p) на полуокружности R ® ¥ равен нулю. Таким образом, полуокружность бесконечно большого радиуса R на плоскости р преобразуется в точку, лежащую в начале координат на плоскости Н, и для построения годографа Н в виде замкнутого контура достаточно знать поведение Н(р) на оси iw, т.е. знать АЧХ и ФЧХ цепи K y (iw),K oc (iw). Обходу контура на рисунке 1 в положительном направлении (против часовой стрелки) соответствует обход годографа Н при изменении частоты от ¥ до - ¥ , т.е. также против часовой стрелки (см. рисунок 3). Следовательно, если годограф передаточной функции разорванного кольца не охватывает точку 1,i0 , то при замкнутой цепи обратной связи система устойчива, в противном случае система неустойчива. Это условие называют критерием устойчивости Найквиста, а годограф H(iw) - диаграммой Найквиста. Показанная на рисунке 3 диаграмма соответствует устойчивой системе. Это видно из того, что годограф Н не охватывает точку 1,i0. Сплошной линией показана часть контура, соответствующая положительным частотам 0<w< ¥ , а штриховой - часть контура, соответствующая отрицательным частотам. Так как функция u(w) четная, а v(w) нечетная относительно w, то оба годографа симметричны относительно действительной оси. Рисунок 3 был построен для случая, когда при w = 0 передаточная функция Н(iw) отлична от нуля ( эта возможно, например, для усилителей постоянного тока, в которых отсутствуют разделительные конденсаторы). Основное преимущество данного метода : удобство оперирования с АЧХ и ФЧХ разомкнутой цепи. Следует отметить, что при сложной схеме устройства форма диаграммы бывает настолько усложнена, что по ней сложно судить о попадании точки 1,i0 в замкнутый контур годографа. В подобных случаях оказывается полезным критерий, вытекающий из критерия Найквиста, основанный на подсчете числа пересечений годографом оси U н (w) на участке 1, ¥ . Для устойчивости системы тогда необходимо, чтобы годограф либо вообще не пересекал этот отрезок, либо пересекал его в положительном и отрицательном направлениях одинаковое число раз.
Помимо критерия Найквиста известен ряд других геометрических методов исследования устойчивости линейных систем с обратной связью, например критерий Михайлова и критерий пересечений. Они широко применяются при анализе систем автоматического регулирования. (Данные критерии описаны в книге : Котельников В.А., Николаев А.М. “Основы радиоэлектроники”)
Литература.
1. С.И. Баскаков “Радиотехнические цепи и сигналы” , 1983. М.: Высшая школа. 2. И.С. Гоноровский “Радиотехнические цепи и сигналы”, 1986 М.: Радио и связь. Поделитесь этой записью или добавьте в закладки |
Полезные публикации |
Главная