Вычисление определенного интеграла методами трапеций и средних прямоугольников
Содержание. Введение, математическое обоснование и анализ задачи. Алгоритм и его описание. Листинг программы. Исходные данные. Результаты расчетов и анализ. Заключение и выводы. Список литературы.
Введение, математическое обоснование и анализ задачи.
Известно,
Рис. 1<2203_2>. Криволинейная трапеция.
Рис. 2<2203_3>. Метод трапеций.
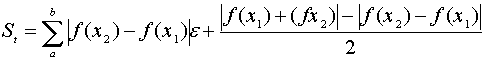
Рис. 3{2203_4}. Метод средних прямоугольников. По методам трапеций и средних прямоугольников соответственно интеграл равен сумме площадей прямоугольных трапеций, где основание трапеции какая-либо малая величина (точность), и сумма площадей прямоугольников, где основание прямоугольника какая-либо малая величина (точность), а высота определяется по точке пересечения верхнего основания прямоугольника, которое график функции должен пересекать в середине. Соответственно получаем формулы площадей — для метода трапеций:{2203_5}
для метода средних прямоугольников:{2203_6}
Соответственно этим формулам и составим алгоритм.
Алгоритм. <2203_7>
Рис. 4. Алгоритм работы программы integral.pas .
Программа написана на Tubro Pascla 6.0 для MS-DOS. Ниже приведен ее листинг: program Integral; uses Crt, Dos; var dx,x1,x2,e,i:real; function Fx(x:real):real; begin Fx:=2+x; {В этом месте запишите функцию, для вычисления интеграла.} end; procedure CountViaBar; var xx1,xx2:real; c:longint; begin writeln('------------------------------------------------'); writeln('-->Метод средних прямоугольников.'); writeln('Всего итераций:',round(abs(x2-x1)/e)); i:=0; for c:=1 to round(abs(x2-x1)/e) do begin write('Итерация ',c,chr(13)); xx1:=Fx(x1+c*e); xx2:=Fx(x1+c*e+e); i:=i+abs(xx1+xx2)/2*e; end; writeln('------------------------------------------------'); writeln('Интеграл=',i); end; procedure CountViaTrap; var xx1,xx2,xx3:real; c:longint; begin writeln('------------------------------------------------'); writeln('-->Метод трапеций.'); writeln('Всего итераций:',round(abs(x2-x1)/e)); i:=0; for c:=1 to round(abs(x2-x1)/e) do begin write('Итерация ',c,chr(13)); xx1:=Fx(x1+c*e); xx2:=Fx(x1+c*e+e); if xx2>xx1 then xx3:=xx1 else xx3:=xx2; i:=i+abs(xx2-xx1)*e+abs(xx3)*e; end; writeln('------------------------------------------------'); writeln('Интеграл=',i); end; begin writeln('------------------------------------------------'); writeln('-=Программа вычисления определенного интеграла=-'); writeln('Введите исходные значения:'); write('Начальное значение x (x1)=');Readln(x1); write('Конечное значение x (x2)=');Readln(x2); write('Точность вычисления (e)=');Readln(e); CountViaBar; CountViaTrap; writeln('------------------------------------------------'); writeln('Спасибо за использование программы ;^)'); end.
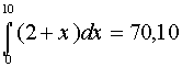
Исходные данные. Результаты расчетов и анализ. Ниже приведен результат работы написанной и откомпилированной программы: ------------------------------------------------ -=Программа вычисления определенного интеграла=- Введите исходные значения: Начальное значение x (x1)=0 Конечное значение x (x2)=10 Точность вычисления (e)=0.01 ------------------------------------------------ -->Метод средних прямоугольников. Всего итераций:1000 ------------------------------------------------ Интеграл= 7.0100000000E+01 ------------------------------------------------ -->Метод трапеций. Всего итераций:1000 ------------------------------------------------ Интеграл= 7.0150000001E+01 ------------------------------------------------ Спасибо за использование программы ;^)
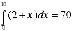
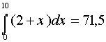
Расчет проверялся для функции
В результате расчетов получаем:
.
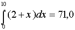
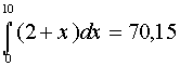
. Также был произведен расчет с точностью 0,1:
.
Таким образом очевидно, что при вычислении определенных интегралов методами трапеций и средних прямоугольников не дает нам точного значения, а только приближенное. Чем ниже задается численное значение точности вычислений (основание трапеции или прямоугольника, в зависимости от метода), тем точнее результат получаемый машиной. При этом, число итераций составляет обратно пропорциональное от численного значения точности. Следовательно для большей точности необходимо большее число итераций, что обуславливает возрастание затрат времени вычисления интеграла на компьютере обратно пропорционально точности вычисления. Использование для вычисления одновременно двух методов (трапеций и средних прямоугольников) позволило исследовать зависимость точности вычислений при применении обоих методов. Следовательно при понижении численного значения точности вычислений результаты расчетов по обеим методам стремятся друг к другу и оба к точному результату.
Поделитесь этой записью или добавьте в закладки |
Полезные публикации |
численно представляет собой площадь криволинейной трапеции ограниченной кривыми
x=0
,
y=a
,
y=b
и
y=
,
.
.
.
.
.
Главная