Некоторые темы геометрии
ТЕМА 1. Скалярные и векторные величины ОСНОВНЫЕ ОПРЕДЕЛЕНИЯ СКАЛЯРНЫХ И ВЕКТОРНЫХ ВЕЛИЧИН. Величины называют скалярными (скалярами), если они после выбора единиц измерения полностью характеризуются одним числом. Если некоторая скалярная величина полностью определяется одним числом, не зависящим от выбора осей отсчета, то тогда говорят о чистой скалярной величине или об истинном скаляре. Если некоторая скалярная величина определяется одним числом, абсолютная величина которого не зависит от выбора осей отсчета, а ее знак зависит от выбора положительного направления на осях координат, то тогда говорят о псевдоскалярной величине
ВЕКТОР Величина называется вектором (векторной) , если она определяется двумя элементами различной природы: алгебраическим элементом - числом, показывающим длину вектора и являющимся скаляром, и геометрическим элементом, указывающим направление вектора.
Геометрически принято изображать вектор направленным отрезком. Зная координаты начала и конца вектора
СЛОЖЕНИЕ И ВЫЧИТАНИЕ ВЕКТОРОВ
Сложение и вычитание
Математически сложение записывают
Если в пространстве задано несколько векторов, число которых больше двух, то операцию сложения (вычитания) записывают как
Умножение вектора на скалярную величину. При умножении вектора
КОЛЛИНЕАРНЫЕ И КОМПЛАНАРНЫЕ ВЕКТОРЫ Два одинаково направленных и параллельных вектора называют коллинеарными. Коллинеарные векторы могут быть разной длины
Два вектора
Три вектора
ТЕМА 2. Действия над векторами СКАЛЯРНОЕ ПРОИЗВЕДЕНИЕ ВЕКТОРОВ
Скалярным произведением
двух векторов
В этом случае результат представляет собой проекцию вектора
Если скалярное произведение двух векторов равно нулю, то эти векторы ортогональны. Действительно, если ни один из векторов не нулевой, то, по определению скалярного произведения, последнее может быть равно нулю только тогда, когда
РАЗЛОЖЕНИЕ ВЕКТОРА ПО КООРДИНАТНЫМ ОРТАМ.
Если вектор представлен через проекции на базисные векторы, то говорят о
разложении вектора
Из определения скалярного произведения следует, что любой вектор, независимо от типа, можно представить в виде:
где
где
a
,
b
и
g
- углы, которые составляет вектор
СВОЙСТВА СКАЛЯРНОГО ПРОИЗВЕДЕНИЯ.
Если скалярное произведение двух векторов равно нулю, то эти векторы ортогональны. Действительно, если ни один из векторов не нулевой, то, по определению скалярного произведения, последнее может быть равно нулю только тогда, когда
СКАЛЯРНОЕ ПРОИЗВЕДЕНИЕ В КООРДИНАТНОЙ ФОРМЕ Скалярное произведение векторов в координатной форме
ТЕМА 3. Векторное произведение векторов. Смешанное произведение трех векторов. ПРАВАЯ И ЛЕВАЯ ТРОЙКИ ВЕКТОРОВ
Линейно независимые векторы
Три единичных вектора i, j, k , попарно ортогональные друг другу и образующие правую тройку векторов, называют прямоугольной декартовой системой координат.
Углом
между векторами
ВЕКТОРНОЕ ПРОИЗВЕДЕНИЕ ВЕКТОРОВ.
Под
векторным произведением
векторов
Векторное произведение обозначают:
СМЕШАННОЕ ПРОИЗВЕДЕНИЕ ТРЕХ ВЕКТОРОВ
Смешанным произведением
векторов
Очевидно, что если
Из определения смешанного произведения следует интересный факт, что произведение не зависит от порядка следования векторов в смешанном произведении, так как объем параллелепипеда (положительный или отрицательный) зависит только от расположения этих векторов в пространстве (левая или правая тройка) потому, что является псевдоскаляром. Следовательно, можно записать
Это свойство смешанного произведения служит обоснованием упрощения записи смешанного произведения:
ТЕМА 4. Прямая линия на плоскости. УРАВНЕНИЕ ПРЯМОЙ НА ПЛОСКОСТИ На плоскости, заметим, могут быть заданы только двухмерные, или плоские преобразования.
Уравнение
По определению линия — это есть соотношение, связывающее координаты точек некоторой области пространства, и, причем только эти координаты. Уравнение представляет собой аналитическую запись уравнения любой плоской линии.
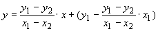
УРАВНЕНИЕ ПРЯМОЙ С ЗАДАННОЙ ТОЧКОЙ И НАПРАВЛЯЮЩИМ ВЕКТОРОМ
Если вместо
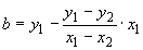
Известно, что уравнение прямой имеет вид:
По условию задачи k задан. Точка M (x 0 ,y 0 ) должна также принадлежать искомой прямой и, по определению линии, обращать уравнение прямой в тождество. Воспользуемся этим и подставим значения x 0 и y 0 в уравнение, получим :
В последнем уравнении неизвестно b. Элементарным преобразованием из последнего уравнения получим
Найденное b подставим в уравнение и окончательно
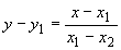
Уравнение является уравнением прямой, проходящей через данную точку в заданном направлении. УРАВНЕНИЕ ПРЯМОЙ ПО ДВУМ ТОЧКАМ
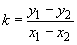
Неизвестен k - угловой коэффициент наклона линии по отношению к положительному направлению 0X. Однако, зная общий вид уравнения прямой (
где
Подставим найденное k в любое из уравнений и определим b
Подставим найденные k и b в уравнение прямой
Преобразуем последнее уравнение
и окончательно
Данное уравнение называется уравнением прямой, проходящей через две точки. ТЕМА 5. Прямая и плоскость в пространстве. УРАВНЕНИЕ ПЛОСКОСТИ.
Любая
поверхность
есть геометрическое место точек, ее составляющих, определенное уравнением
Иными словами, все точки, которые удовлетворяют этому уравнению, будут принадлежать поверхности.
Пусть в пространстве XYZ задана плоскость
a
и к ней в точке K проведем вектор нормали
Выберем на плоскости
a
точку M, не совпадающую с K и свяжем с этой точкой вектор
Получаем нормальное уравнение плоскости:
Однако, если представим вектор
Зная, что для любой точки, принадлежащей плоскости, с координатами (A,B.C) можно вычислить направляющие косинусы
с учетом которых можно уравнение преобразовать
которое известно, как уравнение плоскости. ПРЯМАЯ КАК ПЕРЕСЕЧЕНИЕ ДВУХ ПЛОСКОСТЕЙ
Прямой
линией назовем пересечение двух плоскостей в пространстве. Определение можно записать математически как
ВЕКТОРНОЕ УРАВНЕНИЕ ПРЯМОЙ Пусть плоскости a и b (рис. 6) заданы уравнениями:
и
где
система из этих уравнений:
пространстве, записанными в векторной форме.
ТЕМА 6Матрицы и определители. МАТРИЦЫ И ОПЕРАЦИИ НАД НИМИ
Матрицей A называется любая прямоугольная таблица, составленная из чисел
Суммой двух матриц
Произведением матрицы
матрица C = (c ij ), у которой (c ij ) = (ka ij ).
Если матрица A не нулевая, т.е. существует хотя бы один
ОПРЕДЕЛИТЕЛИ ИХ СВОЙСТВА
Определителем n-го порядка называется число
Количество строк (или столбцов) в определителе называется порядком определителя СИСТЕМА ЛИНЕЙНЫХ УРАВНЕНИЙ. Решением системы называется совокупность из n чисел (с 1 , с 2 , ..., с n ), которые, будучи подставленными в систему на место неизвестных x 1 , x 2 , ..., x n , обращают все уравнения системы в истинные равенства Систему уравнений, имеющую хотя бы одно решение, называют совместной , систему, не имеющую решений, - несовместной.
Решения
Если совместная система имеет единственное решение, то она называется определнной ; если совместная система имеет по крайней мере два различных решения, то она называется неопределенной.
Формулы Крамера
Метод Гаусса. Пусть А - невырожденная матрица, то есть det A 0, и, следовательно, она имеет обратную матрицу А -1 . Умножив обе части на А -1 слева, получаем: А -1 (А Х) = А -1 В (А -1 А)Х = А -1 В Е Х = А -1 В, то есть Х = А -1 В и есть искомое решение системы (14). Действительно, подставив (16) в (14), получим А (А -1 В) = (А -1 А)В = Е В = В.
ТЕМА 7. Предел функции. ПОНЯТИЕ ФУНКЦИИ.
Если некоторому множеству значений
ЧИСЛОВАЯ ПОСЛЕДОВАТЕЛЬНОСТЬ. ПРЕДЕЛ ЧИСЛОВОЙ ПОСЛЕДОВАТЕЛЬНОСТИ. ПРЕДЕЛ ФУНКЦИИ
Если некоторому множеству значений
Для того чтобы обозначить, что
Если невозможно выразить
Если надо выделить некоторое частное значение функции, соответствующее какому-либо конкретному значению
Если каждому натуральному n по какому-либо известному правилу поставлено в соответствие некоторое число
Последовательность
Последовательность
ТЕОРЕМА: Для того чтобы последовательность
Эта теорема дает связь между пределом сходящейся последовательности и бесконечно малыми.
Функции
Функция
ТЕМА 8. Производная. ПРОИЗВОДНАЯ, ЕЁ СВОЙСТВА И ГЕОМЕТРИЧЕСКИЙ СМЫСЛ. ДИФФЕРЕНЦИАЛ. ПРОИЗВОДНАЯ ВЫСШИХ ПОРЯДКОВ
Если отношение
Производная функции
Из определения ясно - в случае убывающей функции производная отрицательна. Это объясняется тем, что
Производная алгебраической суммы равна алгебраической сумме производных.
Производная произведения равна
Если функция
Если
Дифференцируя производную первого порядка, можно получить производную второго порядка, а, дифференцируя полученную функцию, получаем производную третьего порядка и т.д.
Пример 1.
Пример 2.
Пример 3.
Пример 4.
ТЕМА 9. Экстремум функции. ВОЗРАСТАНИЕ (УБЫВАНИЕ) ФУНКЦИЙ
Функция называется
возрастающей на некотором
промежутке
Функция называется
убывающей на некотором промежутке
Если функция определима и непрерывна на некотором отрезке
ЭКСТРЕМУМ ФУНКЦИИ
Функция
Функция
Правило поиска экстремальных точек
1. Находим область определения функции
2. Находим производную функции
3. Определяем критические точки
4. Исследуем
5. Если слева от точки
6. Если слева от точки
7. Если
Если функции
ПРАВИЛО ЛОПИТАЛЯ
Теорема Коши.
Если при соблюдении предположений относительно функций
Эта теорема позволяет формулировать правило Лопиталя. При раскрытии неопределенности вида
Поделитесь этой записью или добавьте в закладки |
Полезные публикации |
Главная