Поверхности второго порядка
Поверхности второго порядка – это поверхности, которые в прямоугольной системе координат определяются алгебраическими уравнениями второй степени.
(1)
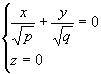
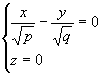
Уравнение (1) называется каноническим уравнением эллипсоида. Установим геометрический вид эллипсоида. Для этого рассмотрим сечения данного эллипсоида плоскостями, параллельными плоскости Oxy. Каждая из таких плоскостей определяется уравнением вида z=h , где h – любое число, а линия, которая получается в сечении, определяется двумя уравнениями
Исследуем уравнения (2) при различных значениях h .
откуда следует, что плоскость
z=h
пересекает эллипсоид по эллипсу с полуосями
Аналогичная картина получается и при пересечении данной поверхности плоскостями, параллельными координатным плоскостям Oxz и Oyz . Таким образом, рассмотренные сечения позволяют изобразить эллипсоид как замкнутую овальную поверхность (рис. 156). Величины a, b, c называются полуосями эллипсоида. В случае a=b=c эллипсоид является сферой.
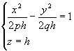
2. Однополосный гиперболоид.
Уравнение (3) называется каноническим уравнением однополосного гиперболоида. Установим вид поверхности (3). Для этого рассмотрим сечение ее координатными плоскостями Oxy (y=0) и Oyx (x=0). Получаем соответственно уравнения
из которых следует, что в сечениях получаются гиперболы. Теперь рассмотрим сечения данного гиперболоида плоскостями z=h, параллельными координатной плоскости Oxy. Линия, получающаяся в сечении, определяется уравнениями
из которых следует, что плоскость z=h пересекает гиперболоид по эллипсу с полуосями
достигающими своих наименьших значений при h=0, т.е. в сечении данного гиперболоида координатной осью Oxy получается самый маленький эллипс с полуосями a*=a и b*=b. При бесконечном возрастании
Таким образом, рассмотренные сечения позволяют изобразить однополосный гиперболоид в виде бесконечной трубки, бесконечно расширяющейся по мере удаления (по обе стороны) от плоскости Oxy. Величины a, b, c называются полуосями однополосного гиперболоида.
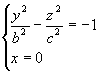
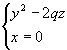
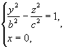
Двуполостным гиперболоидом называется поверхность, которая в некоторой прямоугольной системе координат определяется уравнением
Уравнение (5) называется каноническим уравнением двуполостного гиперболоида. Установим геометрический вид поверхности (5). Для этого рассмотрим его сечения координатными плоскостями Oxy и Oyz. Получаем соответственно уравнения
из которых следует, что в сечениях получаются гиперболы. Теперь рассмотрим сечения данного гиперболоида плоскостями z=h, параллельными координатной плоскости Oxy. Линия, полученная в сечении, определяется уравнениями
из которых следует, что при
При
При
Величина a, b и c называются полуосями двуполостного гиперболоида.
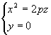
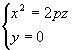
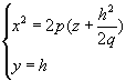
Эллиптическим параболоидом называется поверхность, которая в некоторой прямоугольной системе координат определяется уравнением
где p>0 и q>0. Уравнение (7) называется каноническим уравнением эллиптического параболоида. Рассмотрим сечения данной поверхности координатными плоскостями Oxy и Oyz. Получаем соответственно уравнения
из которых следует, что в сечениях получаются параболы, симметричные относительно оси Oz, с вершинами в начале координат. Теперь рассмотрим сечения данного параболоида плоскостями z=h, параллельными координатной плоскости Oxy. Линия, получающаяся в сечении, определяется уравнениями
из которых следует, что при
Таким образом, рассмотренные сечения позволяют изобразить эллиптический параболоид в виде бесконечно выпуклой чаши. Точка (0;0;0) называется вершиной параболоида; числа p и q – его параметрами. В случае p=q уравнение (8) определяет окружность с центром на оси Oz, т.е. эллиптический параболоид можно рассматривать как поверхность, образованную вращением параболы вокруг её оси (параболоид вращения).
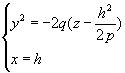
Гиперболическим параболоидом называется поверхность, которая в некоторой прямоугольной системе координат, определяется уравнением
где p>0, q>0. Уравнение (9) называется каноническим уравнением гиперболического параболоида. Рассмотрим сечение параболоида плоскостью Oxz (y=0). Получаем уравнение
из которых следует, что в сечении получается парабола, направленная вверх, симметричная относительно оси Oz, с вершиной в начале координат. В сечениях поверхности плоскостями, параллельными плоскости Oxz (y=h), получаются так же направленные вверх параболы.
рассмотрим сечение данного параболоида плоскостью Oyz (x=0). Получаем уравнение
из которых следует, что и в этом случае в сечении получается парабола, но теперь направленная вниз, симметричная относительно оси Oz, с вершиной в начале координат. Рассмотрев сечения параболоида плоскостями, параллельными плоскости Oyz (x=h), получим уравнения
из которых следует, что при любом h в сечении получается парабола, направленная вниз, а вершина её лежит на параболе, определённой уравнениями (10). Рассмотрим сечения параболоида плоскостями z=h, параллельными плоскости Oxy . получим уравнения
из которых следует, что при h>0 в сечении получаются гиперболы, пересекающие плоскость Oxy; при h<0 – гиперболы, пересекающие плоскости Oyz; при h=0 – гипербола вырождается в пару пересекающихся прямых
точка (0;0;0) называется вершиной параболоида; числа p и q – его параметрами.
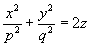
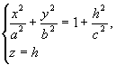
6. Конус второго порядка. Конусом второго порядка называется поверхность, которая в некоторой прямоугольной системе координат определяется уравнением
(11)
Рассмотрим геометрические свойства конуса. В сечение этой поверхности плоскостью Oxy (y=0) получаем линию
распадающуюся на две пересекающиеся прямые
Аналогично, в сечении конуса плоскостью Oyz (x=0) также получаются две пересекающиеся прямые
Рассмотрим сечения поверхности плоскостями z=h, параллельными плоскости Oxy. Получим
из которых следует, что при h>0 и h<0 в сечениях получаются эллипсы с полуосями
При h=0 линия пересечения поверхности с плоскостью z=h вырождается в точку (0;0;0).
Cписок использованной литературы: 1.Шипачёв В.С.:”Высшая математика”
Поделитесь этой записью или добавьте в закладки |
Полезные публикации |
(2)
и уравнения (2) определяют мнимый эллипс, т. е. точек пересечения плоскости
z=h
с данным эллипсоидом не существует.
(3)
и
или
(4)
(5)
и
или
(6)
(7)
и
или
(8)
(9)
(10)
или
и
(11)
и
и
или
Главная