Метод Гаусса ОГЛАВЛЕНИЕ.
ГАУСС (Gaus ) Карл Фридрих (1777-1855), нем. математик, ин. ч.-к. (1802) и ин. поч. ч. (1824) Петерб. АН. Для творчества Г. характерна органич. связь между теоретич. и прикладной матедатикой, широта проблематики. Тр. Г. оказали большое влияние на развитие алгебры (доказательство осн. теоремы алгебры), теории чисел (квадратичные вычеты), дифференц. геометрии (внутр. геометрия поверхностей), матем. физики (принцип Г.), теории электричества и магнетизма, геодезии (разработка метода наименьших квадратов) и мн. разделов астрономии.
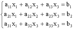
Пусть дана система линейных уравнений
Коэффициенты a 11 , 12 ,..., a 1n , ... , a n1 , b 2 , ... , b n считаются заданными . Вектор -строка í x 1 , x 2 , ... , x n ý - называется решением системы (1), если при подстановке этих чисел вместо переменных все уравнения системы (1) обращаются в верное равенство. Определитель n-го порядка D = ç A ê = ç a ij ç , составленный из коэффициентов при неизвестных , называется определителем системы (1). В зависимости от определителя системы (1) различают следующие случаи. a). Если D ¹ 0 , то система (1) имеет единственное решение, которое может быть найдено методом ГАУССА . б). Если D = 0 , то система (1) либо имеет бесконечное множество решений , либо несовместна ,т.е. решений нет. 2. МЕТОДИЧЕСКИЕ РЕКОМЕНДАЦИИ 1. Рассмотрим систему 3-х линейных уравнений с тремя неизвестными.
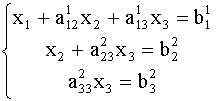
Метод Гаусса решения системы (2) состоит в следующем:
Разделим все члены первого уравнения на
Теперь разделим второе уравнение системы (3) на
Из последнего уравнения системы (4) находим
подставляя найденное значение в первое уравнение , находим
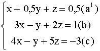
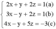
3. ПРИМЕР. Методом Гаусса решить систему:
Решение: Разделив уравнение (а) на 2 , получим систему
Вычтем из уравнения (b) уравнение
уравнение
Разделив уравнение
Вычтем из уравнения (
Из уравнения
Проверка:
Поделитесь этой записью или добавьте в закладки |
Полезные публикации |
(1)
Главная