Задача Дирихле
1.ПОСТАНОВКА ЗАДАЧИ
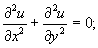
Решить численно задачу Дирихле для уравнения Лапласа :
(x,y)D; u | Г =xy 2 =f(x,y) ; область D ограничена линиями: x=2 , x=4 , y=x , y=x+4 ; (x 0 , y 0 ) = (3, 5) . Следует решить задачу сначала с шагом по x и по y : h=0.2, потом с шагом h=0.1 . Точность решения СЛАУ =0.01 .
2.ОПИСАНИЕ МЕТОДА РЕШЕНИЯ ПОСТАВЛЕННОЙ ЗАДАЧИ
Поставленная задача решается численно с помощью программы, реализующей метод сеток , разработанный для численного решения задачи Дирихле для уравнений эллептического типа. Программа написана на языке C++ , в среде Borland C++ версии 3.1. Ниже описан алгоритм работы этой программы. 1. На первом шаге область D дискретизируется. Она заменяется на область D h путем разбиения области D параллельными прямыми по следующему правилу: y i =y 0 ih, x j =x 0 ih , i,j=0,1,2…. PР. Разбиение производится до тех пор, пока текущая прямая не будет лежать целиком вне области D. Получается множество точек (x i ,y j ). 2. За область D h принимают те точки множества (x i ,y j ) , которые попали внутрь области D, а также дополняют это множество граничными точками. 3.Во всех точках области D h вычисляются значения функции f(x i ,y j ) . 4. За область D h * принимаются все внутренние точки области D h , т.е. удовлетворяющие требованию: (x i ,y j ) D h * , если (x i+1 ,y j ) D h , (x i-1 ,y j ) D h , (x i ,y j+1 ) D h , (x i ,y j-1 ) D h . 5. Во всех точках области D h * вычисляется функция F (N) *[i,j] ( индекс N обозначает номер итерации, на которой производится вычисление): F (N) *[i,j]=(f(x i+1 ,y j ) + f(x i-1 ,y j ) + f(x i ,y j+1 )f(x i ,y j-1 ))/4 6. Теперь если max | F (N+1) *[i,j] - F (N) *[i,j]|< ,взятый по всем точкам области D h * ,то задача решена; если нет , то выполнять шаг 5 ( пересчитывать функцию F (N) *[i,j] через значения F (N-1) *[i,j]) до тех пор, пока не выполнится указанное условие.
3.ТЕКСТ ПРОГРАММЫ
#include <stdio.h> #include <fstream.h> #include <conio.h> #include <iostream.h> #include <math.h> int i,j,k; // Variables float h,x,y,tmp,E1; struct point { float xx; float yy; int BelongsToDh_; int BelongsToDh; float F; float F_; } p0,arrayP[13][33]; float arrayX[13]; float arrayY[33]; float diff[500]; void CreateNet(void); // Procedure Prototypes int IsLineFit(float Param); void CrMtrD(void); void RegArrayX(); void RegArrayY(); void CreateDh_(); int IsFit(point Par); void FillF(); void CreateDh(); int IsInner(int i,int j); void FillF_(); void CountDif(); void MakeFile(); void main(void) //MAIN { clrscr(); p0.xx = 3; p0.yy = 5; h = 0.2; p0.BelongsToDh_=1; p0.BelongsToDh=1; CreateNet(); RegArrayX(); RegArrayY(); CrMtrD(); CreateDh_(); FillF(); CreateDh(); FillF_(); CountDif(); while (E1>=0.005) { for(i=0;i<13;i++) for(j=0;j<33;j++) arrayP[i][j].F=arrayP[i][j].F_; FillF_(); CountDif(); } cout<<(0-arrayP[7][17].F_); MakeFile(); getchar(); } //MAIN END int IsLineFit(float par,char Axis) // does the line belong to the defined area { switch(Axis) { case 'y': if ((par>8.0) || (par<2.0)) return 1; else return 0; case 'x': if (par<1.9) return 1; else if (par>4.0) return 1; else return 0; } } void CreateNet(void) // Creation of Net (area D ) { x = p0.xx; i=0; arrayX[i]=x; while (!IsLineFit(x,'x')) { x += h; i++; arrayX[i] = x; } x = p0.xx-h; i++; arrayX[i]=x; while (!IsLineFit(x,'x')) { x -= h; i++; arrayX[i] = x; } for (i=0;i<13;i++) { printf("%g ",arrayX[i]); } printf("\n"); y = p0.yy; i = 0; arrayY[i]=y; while (!IsLineFit(y,'y')) { y += h; i++; arrayY[i] = y; } y = p0.yy - h; i++; arrayY[i]=y; while (!IsLineFit(y,'y')) { y -= h; i++; arrayY[i] = y; } for(i=0;i<33;i++) { printf("%g ",arrayY[i]);} printf("\n"); } // end CreateNet void RegArrayX() // Regulation of arrays X & Y { int LastUnreg = 13 ; while (LastUnreg != 0) { for(i=0;i<LastUnreg-1;i++) { if (arrayX[i]>arrayX[i+1]) {double tmp=arrayX[i]; arrayX[i]=arrayX[i+1]; arrayX[i+1]=tmp;}} LastUnreg=LastUnreg-1; } for (i=0;i<13;i++) { printf("%g ",arrayX[i]); } printf("\n"); } void RegArrayY() { int LastUnreg = 33 ; while (LastUnreg != 0) { for(i=0;i<LastUnreg-1;i++) { if (arrayY[i]>arrayY[i+1]) { tmp=arrayY[i]; arrayY[i]=arrayY[i+1]; arrayY[i+1]=tmp;}} LastUnreg=LastUnreg-1; } for (i=0;i<33;i++) { printf("%g ",arrayY[i]); } printf("\n");} // End of Regulation void CrMtrD(void) //Create general Matrix { for(i=0;i<13;i++) for(j=0;j<33;j++) {arrayP[i][j].BelongsToDh_=0; arrayP[i][j].BelongsToDh=0;} for(i=0;i<13;i++) for(j=0;j<33;j++) { arrayP[i][j].xx=arrayX[i]; arrayP[i][j].yy=arrayY[j]; } // printf("%g %g",arrayP[12][0].xx,arrayP[12][0].yy); // printf("\n"); } int IsFit(point Par) //does point belong to area D? { if ((Par.xx<=4) && (Par.xx>=1.99) && (Par.yy>=Par.xx) && (Par.yy<=Par.xx+4)) return 1; else return 0; } void CreateDh_(void) //Create area Dh_ { for(i=0;i<13;i++) for(j=0;j<33;j++) if (IsFit(arrayP[i][j])) arrayP[i][j].BelongsToDh_=1; cout << arrayP[1][1].BelongsToDh_<< "\n"; cout << arrayP[1][1].xx << " " << arrayP[1][1].yy<<"\n"; } void FillF(void) // calc function F(x,y) at area Dh_ { for(i=0;i<13;i++) for(j=0;j<33;j++) if (arrayP[i][j].BelongsToDh_==1) arrayP[i][j].F=arrayP[i][j].xx*pow(arrayP[i][j].yy,2); else arrayP[i][j].F=0; } int IsInner(int i,int j) //Is point inner? { if ((arrayP[i-1][j].BelongsToDh_==1) && (arrayP[i+1][j].BelongsToDh_==1) && (arrayP[i][j+1].BelongsToDh_==1) && (arrayP[i][j-1].BelongsToDh_==1)) return 1; else return 0; } void CreateDh(void) //Create area Dh { for(i=0;i<13;i++) for(j=0;j<33;j++) if ((arrayP[i][j].BelongsToDh_==1) && IsInner(i,j)) arrayP[i][j].BelongsToDh=1; } void FillF_() //calc new appr. values of F { for(i=0;i<13;i++) for(j=0;j<33;j++) { if (arrayP[i][j].BelongsToDh==1) arrayP[i][j].F_=(arrayP[i-1][j].F+arrayP[i+1][j].F+ arrayP[i][j-1].F+arrayP[i][j+1].F)/4; else arrayP[i][j].F_=0; } } void CountDif() // find maximal difference abs(F-F_) { k=0; for(i=0;i<13;i++) for(j=0;j<33;j++) { if (arrayP[i][j].BelongsToDh==1) { diff[k]=fabs(arrayP[i][j].F_-arrayP[i][j].F); k++;}} E1=diff[0]; for (k=1;k<500;k++) { if (diff[k]>E1) E1=diff[k];} } void MakeFile() { ofstream f; FILE *f1=fopen("surf.dat","w1"); fclose(f1); f.open("surf.dat",ios::out,0); for(i=0;i<13;i++) for(j=0;j<33;j++) { if (arrayP[i][j].BelongsToDh==1) { f<<arrayP[i][j].xx<<" "<<arrayP[i][j].yy<< " "<<arrayP[i][j].F_<<"\n";}} f.close() ; }
4.ГРАФИКИ РЕШЕНИЙ
РИС.1 шаг h=0.2
РИС.2 шаг h=0.1
5.ВЫВОД
Функция f(x,y) является неотрицательной в области D. Полученное решение лежит целиком над плоскостью XOY . Для данного решения выполняется принцип максимума. Поделитесь этой записью или добавьте в закладки |
Полезные публикации |
Главная