Морфологический анализ цветных (спектрозональных) изображений
1. Введение Хорошо известно, что изображения одной и той же сцены, полученные при различных условиях освещения и(или) измененных оптических свойствах объектов могут отличаться радикально. Это обстоятельство порождает значительные трудности в прикладных задачах анализа и интерпретации изображений реальных сцен, в которых решение должно не зависеть от условий регистрации изображений. Речь идет, например, о задачах выделения неизвестного объекта на фоне известной местности, известного объекта на произвольном фоне при неконтролируемых условиях освещения, о задаче совмещения изображенний одной и той же сцены, полученных в различных спектральных диапазонах и т.д. Методы морфологического анализа, разработанные более десяти лет тому назад, [1-5], для решения перечисленных задач, были в основном ориентированы для применения к черно-белым изображениям и оказались достаточно эффективными, [5-11]. Между тем, по меньшей мере два обстоятельства указывают на целесообразность разработки морфологических методов анализа цветных изображений. Во-первых, в задаче обнаружения и выделения объекта последний, как правило, прежде всего цветом отличается от фона. Во-вторых, описание формы изображения в терминах цвета позволит практически устранить эффект теней и влияние неопределенности в пространственном распределении интенсивности спектрально однородного освещения.
2. Цвет и яркость спектозонального изображения.
Рассмотрим некоторые аспекты теории цвета так называемых многоспектральных (спектрозональных, [13]) изображений, аналогичной классической колориметрии [12]. Будем считать заданными
n
детекторов излучения со спектральными чувствительностями
Векторы
Далее предполагается, что всякое излучение
Если
Отсюда следует Лемма 1. Яркость f e и цвет j e любой аддитивной смеси e излучений e 1 ( × ),...,e m ( × ) , m=1,2,... определяются яркостями и цветами слагаемых .
Подчеркнем, что равенство
Далее предполагается, что вектор
w
таков, что в E можно указать базовые излучения
Для всякого излучения e можно записать разложение
в котором
или, в виде выходных сигналов детекторов излучения, -
В ряде случаев белое излучение естественно определять исходя из базовых излучений, а не из выходных сигналов детекторов, считая белым всякое излучение, которому в (1*) отвечают равные координаты:
Заметим, что слагаемые в (1*), у которых
a
j
<0, физически интерпретируются как соответствующие излучениям, "помещенным" в левую часть равенства (1*) с коэффициентами -
a
j
>0:
Определим в
Лемма 2. В
разложении
(1*)
Что касается скалярного проиведения
Пусть
Х
- поле зрения, например, ограниченная область на плоскости R
2
, или на сетке
Точнее, пусть
Х
- поле зрения, (
Х
,
С
, ) - измеримое пространство
Х
с мерой
C -
s
-алгебра подмножеств
X
.
Цветное (спектрозональное) изображение
в котором почти для всех
Цветные изображения образуют подкласс функций
Впрочем, для упрощения терминологии далее любой элемент
условием физичности изображений f ( × ).
Если
f
-
цветное изображение (2), то
3. Форма цветного изображения.
Понятие формы изображения призвано охарактеризовать форму изображенных объектов в терминах характерности изображений, инвариантных относительно определенного класса преобразований изображения, моделирующих меняющиеся условия его регистрации. Например, довольно часто может меняться освещение сцены, в частности, при практически неизменном спектральном составе может радикально изменяться распределение интенсивности освещения сцены. Такие изменения освещения в формуле (2**) выражаются преобразованием
Нередко изменение распределения интенсивности освещения сопровождается значительным изменением и его спектрального состава, но - пространственно однородным, одним и тем же в пределах всей изображаемой сцены. Поскольку между спектром излучения
e
и цветом
j
нет взаимно однозначного соответствия, модель сопутствующего преобразования изображения
f
(x)
в терминах преобразования его цвета
j
(
×
). Для этого определим отображение
A
(
×
):
Пусть при рассматриваемом изменении освещения
Как правило, следует учитывать непостоянство оптических характеристик сцены и т.д. Во всех случаях форма изображения должна быть инвариантна относительно преобразования из выделенного класса и, более того, должна определять изображение с точностью до произвольного преобразования из этого класса.
Для определения понятия формы цветного изображения
f
(
×
)
на
В рассматриваемом выше примере преобразования изображений
Если же
Пусть, скажем,
g
- черно-белый вариант
f
, т.е.
g(x)=f(x)
и
g
(x)/g(x)=
b
, x
Î
X
. Если преобразование
Формой
Рассмотрим теперь более подробно понятие формы для некоторых характерных классов изображений и их преобразований.
4. Форма кусочно-постоянного (мозаичного) цветного изображения.
Во многих практически важных задачах форма объекта на изображении может быть охарактеризована специальной структурой излучения, достигающего поле зрения
X
в виде
то цветное изображение
f
e
,
такого объекта характеризует
его
форму непрерывным распределением яркости и цвета на каждом подмножестве
A
i
,
i
=1,...,
N
. Для изображения
Если, в частности, цвет и яркость
его черно-белый вариант
на каждом
A
i
имеет постоянную яркость
не меняется на
A
i
и равен
Поскольку для реальных изображений должно быть выполнено условие физичности (2*),
v(a) , очевидно, содержится в n × N мерном линейном подпространстве
которое назовем формой a( × ) в широком смысле.
Форму в широком смысле любого изображения
a(
×
),
у которого не обязательно различны яркости и цвета на различных подмножествах
A
i
,i=1,...,N,
определим как линейное подпространство
Изображения из конуса(4***) имеют форму, которая не сложнее, чем форма a( × ) (4), поскольку некоторые из них могут иметь одно и то же значение яркости или(и) цвета на различных множествах А i , i=1,…………..,N . Также множества оказываются, по существу, объединенными в одно, что и приводит к упрощению формы изображения, поскольку оно отражает меньше деталей формы изображенного объекта, чем изображение (4). Это замечание касается и L( a ( × )), если речь идет о форме в широком смысле.
Лемма 3
. Пусть {А
i
} - измеримое разбиение X:
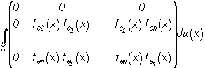
Изображение (3) имеет на каждом подмножестве A i :
-
постоянную яркость
-
постоянный цвет
-
постоянную яркость
f
i
, i=1,...,
N
,
если и только если в
(3)
Доказательство . На множестве A i яркость и цвет изображения (3) равны соответственно
Если выполнено равенство (4), то
Если
Цвет изображения определяется как электродинамическими свойствами поверхности изображенного объекта, так и спектральным составом облучающего электромагнитного излучения в том диапазоне, который используется для регистрации изображения. Речь идет о спектральном составе излучения, покидающего поверхность объекта и содержащего как рассеянное так и собственное излучения объекта. Поскольку спектральный состав падающего излучения, как правило, пространственно однороден, можно считать, что цвет изображения несет информацию о свойствах поверхности объекта, о ее форме, а яркость в значительной степени зависит и от условий “освещения”. Поэтому на практике в задачах морфологического анализа цветных изображений сцен важное значение имеет понятие формы изображения, имеющего постоянный цвет и произвольное распределение яркости в пределах заданных подмножеств A i , i=1,...,N, поля зрения X . Итак, пусть в согласии с леммой 3
где,
в пределах A i при постоянном цвете
причем для изображения (5)
цвета
j
(i)
, i=1,.…..,N, считаются попарно различными, а функции g
(i)
, i=1,.…..,N, - удовлетворяющими условиям
Нетрудно заметить, что в выражениях (5),(6) и (7) без потери общности можно принять условие нормировки
Форму изображения (5) определим как класс всех изображений
каждое из которых, как и изображение (5), имеет постоянный цвет в пределах каждого
A
i
, i=1,...,N.
Форма таких изображений не сложнее, чем форма
f
() (5), поскольку в изображении
Если в (8) яркость
Цвет изображения (8) может не совпадать с цветом (5). Если же по условию задачи все изображения
Нетрудно определить форму любого, не обязательно мозаичного, изображения
f
в том случае, когда допустимы произвольные изменения яркости
назовем формой в широком смысле изображения
в которой включение
Более удобное описание формы изображения может быть получено на основе методов аппроксимации цветных изображений, в которых форма определяется как оператор наилучшего приближения. В следующем параграфе дано представление формы изображения в виде оператора наилучшего приближения. 5. Задачи аппроксимации цветных изображений. Форма как оператор наилучшего приближения.
Рассмотрим вначале задачи приближения кусочно-постоянными (мозаичными) изображениями. Решение этих задач позволит построить форму изображения
где
а
5.1. Приближение цветного изображения изображениями, цвет и яркость которых постоянны на подмножествах разбиения
Задано разбиение
Теорема 1
.
Пусть
и искомое изображение (4) задается равенством
Оператор
Черно-белый вариант
В точках множества
Доказательство
.
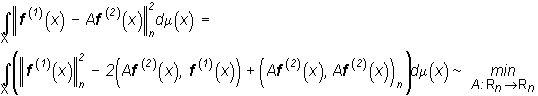
Равенства (12) - условия минимума положительно определенной квадратичной формы (11),
П -
ортогональный проектор, поскольку в задаче (11) наилучшая аппроксимация - ортогональная проекция
f
на
Замечание 1.
Для любого измеримого разбиения
Если учесть, условие физичности (2*), то формой цветного изображения следует
считать проектор
Аналогично формой черно-белого изображения следует считать проектор
Аналогично для черно-белого изображения a( × )
Примечания.
Формы в широком смысле не определяются связью задач наилучшего приближения элементами
Форма в широком смысле
если векторы
Посмотрим, каким образом воспользоваться этими фактами при построении формы в широком смысле как оператора ортогонального проецирования на линейное подпространство
Однако для найденного разбиения условие
где
В (*) можно, например, использовать так называемую исчерпывающую последовательность разбиений [], удовлетворяющую следующим условиям
-
-
N+1
-oe разбиение является продолжением
N-
го, т.е. для любого
- минимальная
s
-алгебра, содержащая все
Лемма (*).
Пусть
и
m
-почти для всех
Воспользуемся этим результатом для построения формы в широком смысле
П
произвольного изображения
Теорема (*).
Пусть
Тогда
1) для любого
2)
для любого изображения
Доказательство. Первое утверждение непосредственно следует из леммы (*) и определения
Вопрос о том, каким образом может быть построена исчерпывающая последовательность разбиений, обсуждается в следующем пункте.
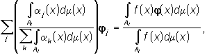
Заданы векторы f
1
,...,f
q
, требуется определить разбиение
то в
A
i
следует отнести лишь те точки
означает, что множества (14) не пересекаются и
Чтобы сформулировать этот результат в терминах морфологического анализа, рассмотрим разбиение
и звездочка указывает на договоренность, принятую в (14). Определим оператор
F
,
действующий из
Теорема 2.
Пусть
наилучшего в
Замечание 2.
Если данные задачи доступны лишь в черно-белом варианте, то есть заданы числа
где
Замечание 3.
Выберем векторы
f
i
,
i=1,..,q
единичной длины:
Множества (16) являются конусами в R
n
, ограниченными гиперплоскостями, проходящими через начало координат. Отсюда следует, что соответствующее приближение
Замечание 4.
Для любого заданного набора попарно различных векторов
Иначе говоря, в данном случае формой изображения
Теоремы 1 и 2 позволяют записать необходимые и достаточные условия наилучшего приближения изображения
f
(
×
)
изображениями
Следствие 1.
Пусть
D
i
,
i=1,...,N, - подмножества
R
n
(15),
П -
ортогональный проектор
(13),
Следующая рекуррентная процедура, полезная для уточнения приближений, получаемых в теоремах 1,2, в некоторых случаях позволяет решать названную задачу. Пусть
В заключение этого пункта вернемся к вопросу о построении исчерпывающего
5.2. Приближение изображениями, цвет которых постоянен на подмножествах разбиения
Задано разбиение
Для практики, как уже было отмечено, большой интерес представляет класс изображений (5), цвет которых не изменяется в пределах некоторых подмножеств поля зрения, и задачи аппроксимации произвольных изображений изображениями такого класса. Запишем изображение (5) в виде
где
Пусть
A
1
,...,A
N
-
заданное разбиение X
,
Речь идет о задаче аппроксимации произвольного изображения
Так как
то минимум
S
(19) по
и равен
Задача (18) тем самым сведена к задаче
В связи с последней рассмотрим самосопряженный неотрицательно определенный оператор
Максимум (неотрицательной) квадратичной формы
и равен
Теорема 3.
Пусть A
1
,...,A
N
-заданное измеримое разбиение X, причем (A
i
)>0, i=1,...,N. Решением задачи (18) наилучшего приближения изображения
Операторы
П
проецирует в
Невязка наилучшего приближения
Доказательство. Равентство (24) и выражение для П i следует из (17),(20) и решения задачи на собственные значения для оператора Ф i (23). Поскольку Ф i самосопряженный неотрицательно определенный оператор, то задача на собственные значения (23) разрешима, все собственные значения Ф i неотрицательны и среди них i - наибольшее. Для доказательства свойств операторов П i , i=1,...,N, и П введем обозначения, указывающие на зависимость от f ( × ):
Эти равенства, показывающие, что результат двукратного действия операторов П i , i=1,...,N, и П (26) не отличается от результатата однократного их действия, позволят считать операторы (26) проекторами.
Пусть
f
i
- cсобственный вектор
Ф
i
, отвечающий максимальному собственному значению
i
. Чтобы определить
Поскольку rank
Отсюда, в свою очередь, следует равенство (26*) для
Лемма 4.
Для любого изображения
Доказательство. Достаточно доказать, что единственный (с точностью до положительного множителя) собственный вектор
f
i
оператора (23), отвечающий максимальному собственному значению
i
, можно выбрать так, чтобы
составляющие содержание леммы. Действительно, если
Убедимся в неотрицательности
где
Так как матрица
Замечание 4.
Если
Наоборот, если
Итак, пусть в изображении
g
(
×
) (17) все векторы
f
1
,.…..,
f
N
попарно не коллинеарны, тюею цвета всех подмножеств
A
1
,...,A
N
попарно различны. Тогда форма в широком смысле
где
Оператор
П
(24), дающий решение задачи наилучшего приближения
Заданы векторы цвета
j
1
,...,
j
q
, требуется определить разбиение A
1
,..., A
q
, на множествах которого наилучшее приближение имеет соответственно цвета
j
1
,...,
j
q
и оптимальные распределения яркостей
Речь идет о следующей задаче наилучшего в
Рассмотрим вначале задачу (28) не требуя, чтобы
и достигается на
то, как нетрудно убедиться,
где звездочка * означает то же самое, что и в равенстве (14): точки
x
Î
X, в которых выполняется равенство
Пусть
а F : R n - > R n оператор, определенный условием
Тогда решение задачи (28) можно представить в виде
где
Нетрудно убедиться, что задача на минимум (29) с условием физичности
имеет решение
Соответственно решение задачи (28) с условием физичности имеет вид
где
В ряде случаев для построения (34) полезно определить оператор F + : R n - > R n , действующий согласно формуле
где
Подытожим сказанное.
Теорема 4.
Решение задачи
(28)
наилучшего в
Формой в широком смысле изображения, имеющего заданный набор цветов
j
1
,...,
j
q
на некоторых множествах положительной меры A
1
,...,A
q
разбиение поля
зрения можно назвать оператор
В заключение этого раздела вернемся к понятию формы изображения, заданного с точностью до произвольного, удовлетворяющего условиям физичности, преобразования яркости. Речь идет о форме изображения
Теорема 5.
Решение
в котором
(
Определение.
Формой изображения, заданного распределением цвета
или - проектор
Всякое изображение
g
(
×
), распределение цвета которого есть
j
(
×
) и только такое изображение содержится в
Поскольку на самом деле детали сцены, передаваемые распределением цвета
j
(
×
), не представлены на изображении
f
(
×
) =
f
(
×
)
j
(
×
) в той области поля зрения, в которой яркость
f
(
x
)=
0, x
Î
X, будем считать, что
Замечание 5. Пусть
j
1
,...,
j
N
- наилучшее приближение f ( × ). Тогда в равенстве (24)
если
A
1
,...,A
N
- исходное разбиение X в теореме 3. Наоборот, если
A
1
,...,A
N
- заданное в теореме 3 разбиение X и
f
1
,...,
f
N
- собственные векторы операторов
Ф
1
,...,Ф
N
(23) соответственно, отвечающие максимальным собственным значениям, то
f
1
,...,
f
N
Проверка этого замечания не представляет затруднений. В. Случай, когда допускаются небольшие изменения цвета в пределах каждого A i , i=1,...,N .
Разумеется, условие постоянства цвета на множествах
A
i
, i=1,...,N
, на практике может выполняться лишь с определенной точностью. Последнюю можно повысить как путем перехода к более мелкому разбиению
в котором
Поскольку в задаче наилучшего приближения
f
(
×
)
изображениями этого класса предстоит найти
из условия минимума невязки по
при дополнительном условии ортогональности
Лемма 5.
Пусть
Тогда решение задачи (**) дается равенствами
Доказательство. Заметим, что, поскольку
Ф
i
- самосопряженный неотрицательно определенный оператор, его собственные значения неотрицательны, а его собственные векторы всегда можно выбрать так, чтобы они образовали ортогональный базис в R
n
. Пусть
P
i
- ортогонально проецирует в R
n
на линейную оболочку
[
P
i
Ф
i
P
i
] - сужение оператора
P
i
Ф
i
P
i
на
Воспользовавшись выражениями (*) и леммой 5, найдем, что в рассматриваемом случае имеет место утверждение, аналогичное теореме 3. Теорема 3* . Наилучшее приближение любого изображения f ( × ) изображениями (17*) имеет вид
Где
Невязка наилучшего приближения равна
Рассмотрим теперь задачу наилучшего приближения изображения
f
изображениями (17), в которых заданы и фиксированы векторы
При любом разбиении
где точки
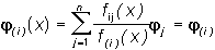
Таким образом доказана
Теорема 6.
Пусть
где ортогональный проектор
Замечание 5.
Так как при
то условия (31), определяющие разбиение
показывающем, что
множество
Теоремы 3 и 6 позволяют сформулировать необходимые и достаточные условия наилучшего приближения изображения
f
(
×
) изображениями (17), при котором должны быть найдены
Теорема 7.
Для заданного изображения
f
(
×
) определим множества
определено равенством
(32),
в котором
Замечание 6.
Следующая итерационная процедура полезна при отыскании
Формы
Теорема 7.
Форма
при этом
Доказательство. Так как для
Замечание.
Так как
Для спектрозональных изображений характерна ситуация, при которой k детекторов регистрируют рассеянную объектами солнечную радиацию в диапазоне видимого света, а остальные n-k регистрируют собственное тепловое излучение объектов ( в инфракрасном диапазоне). В таком случае любое изображение можно представить разложением
В котором
Форма ИК компоненты f ( × ) может быть определена лишь тогда, когда известно множество возможных преобразований j 2 ( × ) f 2 ( × ).
Некоторые применения. Задачи идентификации сцен. Рассмотрим вначале задачи идентификации сцен по их изображения, неискаженным геометрическими преобразованиями, поворотами, изменениями масштаба и т.д. Ограничимся задачами, в которых предъявляемые для анализа изображения получены при изменяющихся и неконтролируемых условиях освещения и неизвестных и, вообще говоря, различных оптических характеристиках сцены. 1). Задачи идентификации при произвольно меняющейся интенсивности освещения . Можно ли считать f ( × ) и g ( × ) изображениями одной и той же сцены, возможно, отличающимя лишь распределениями яркости, например, наличием теней?
В простейшем случае для идентификации достаточно воспользоваться теоремой 5, а именно,
f
(
×
) и
g
(
×
) можно считать изображениями одной и той же сцены, если существует распределение цвета
На практике удобнее использовать другой подход, позволяющий одновременно решать задачи совмещения изображений и выделения объектов. Можно ли, например, считать g ( × ) изображением сцены, представленной изображением f ( × )? Ответ следует считать утвердительным, если
Здесь
j
(
×
) - распределение цвета на изображении
f
(
×
), символ ~
0
означает, что значение
d
(
g
(
×
)) можно объяснить наличием шума, каких-либо других погрешностей, или, наконец, - наличием или, наоборот, отсутствием объектов объясняющим несовпадение
g
(
×
) и
f
(
×
) с точностью до преобразования распределения яркостей. Такие объекты, изменившие распределение цвета
g
(
×
) по сравнению с распределением цвета
f
(
×
), представлены в
2). Идентификация при произвольном изменении распределения интенсивности и пространственно однородном изменении спектрального состава освещения . Можно ли считать изображением сцены, представленной на изображении f ( × ), изображение, полученное при изменившихся условиях регистрации, например, перемещением или изменением теней и изменением спектрального состава освещения?
Пусть
П
- форма в широком смысле изображения
f
(
×
), определенная в теореме @,
П
*
-
форма
f
(
×
). Тогда ответ на поставленный вопрос можно считать утвердительным, если
3). Задачи совмещения изображений и поиска фрагмента. Пусть f ( × ) - заданное изображение, A Ì X - подмножество поля зрения, c A ( × ) - его индикатор, c A ( × ) f ( × ) -назовем фрагментом изображения f ( × ) на подмножестве A, представляющем выделенный фрагмент сцены, изображенной на f ( × ). Пусть g ( × ) - изображение той же сцены, полученное при других условиях, в частности, например, сдвинутое, повернутое, т.е. геометрически искаженное по сравнению с f ( × ). Задача состоит в том, чтобы указать на g ( × ) фрагмент изображения, представляющий на f ( × ) фрагмент сцены и совместить его с c A ( × ) f ( × ).
Ограничимся случаем, когда упомянутые геометрические искажения можно моделировать группой преобразований R
2
->R
2
, преобразование изображения
Q ( h ): R n ->R n , h Î H, - группа операторов. Векторный сдвиг на h ¢ Î H даст
В задаче выделения и совмещения фрагмента рассмотрим фрагмент сдвинутого на h изображения g ( × ) в “окне” A :
причем, поскольку
Если кроме цвета
g
(
×
) может отличаться от
f
(
×
), скажем, произвольным преобразованием распределения яркости при неизменном распределении цвета и
При этом считается, что фрагмент изображения g ( × ), соответствующий фрагменту c A ( × ) f ( × ), будет помещен в “окно”. А путем соответствующего сдвига h=h * , совпадает с c A ( × ) f ( × ) с точностью до некоторого преобразования распределения яркости на нем. Это означает, что
т.е. в (101) при h=h * достигается минимум.
4). В ряде случаев возникает следующая задача анализа спектрозональных изображений: выделить объекты которые “видны”, скажем, в первом канале и “не видны” в остальных.
Рассмотрим два изображения
Пусть
Рис.1. f e - вектор выходных сигналов детекторов, отвечающий излучению e( × ), j e - его цвет; j 1 , j 2 , j 3 , - векторы (цвета) базовых излучений, b - белый цвет, конец вектора b находится на пересечении биссектрис.
Литература. [1] Пытьев Ю.П. Морфологические понятия в задачах анализа изображений, - Докл. АН СССР, 1975, т. 224, №6, сс. 1283-1286. [2] Пытьев Ю.П. Морфологический анализ изображений, - Докл. АН СССР, 1983, т. 296, №5, сс. 1061-1064. [3] Пытьев Ю.П. Задачи морфологического анализа изображений, - Математические методы исследования природных ресурсов земли из космоса, ред. Золотухин В.Г., Наука, Москва, 1984, сс. хххх-ххххх. [4] Пытьев Ю.П., Чуличков А.И. ЭВМ анализирует форму изображения, - Знание,сер. Математика, Кибернентика, Москва, 1988, 47 стр. [5] Yu.P.Pyt’ev. Morphological Image Analysis, Patt. Recogn. and Image Analysis, 1993, v.3, #1, pp.19-28. [6] Антонюк В.А., Пытьев Ю.П. Спецпроцессоры реального времени для морфологического анализа реальных сцен. Обработка изображений и дистанционное исследования, -Новосибирск, 1981, сс. 87-89. [7] Антонюк В.А., Пытьев Ю.П., Рау Э.И. Автоматизация визуального контроля изделий микроэлектроники,Радиотехника и электроника, 1985, т. ХХХ,№12, сс. 2456-2458. [8] Ермолаев А.Г., Пытьев Ю.П. Априорные оценки полезного сигнала для морфологических решающих алглритмов, - Автоматизация, 1984, №5, сс. 118-120. [9] Пытьев Ю.П, Задорожный С.С., Лукьянов А.Е. Об автоматизации сравнительного морфологического анализа электронномикроскопических изображений, - Изв. АН СССР, сер. физическая, 1977, т. 41, №11, сс. хххх-хххх. [10] A.A. Stepanov, S.Yu. Zheltov, Yu.V. Visilter. Shape analysis using Pyt'ev morphological paradigm and its using in machine vision. Proc. SPIE - Th. Intern. Soc. For Optical Engineering Videometrics III, 1994, v. 2350, pp. 163-167. [11] Пытьев Ю.П.. Математические методы интерпретации эксперимента, Высшая школа, 351 стр., 1989. [12] Майзель С.О. Ратхер Е.С. Цветовые расчеты и измерения. М:Л:Госэнергоиздат 1941, (Труды всесоюзного электротехнического института, вып.56). [13] P. Kronberg. Fernerkundung der Erde Ferdinand Enke. Verlag Stuthgart 1985.
Поделитесь этой записью или добавьте в закладки |
Полезные публикации |
назовем
яркостью излучения
e
.
Вектор
, и
. Для нее
. (1)
,
j
=1,...,
n
, (конец которого лежит в Ï) определяются координатами
a
j
и цветами излучений
.
,
,
(4**)
,
i
=1,...,
N
.
, определим как выпуклый замкнутый в
, является ортогональным проектором на линейное подпространство черно-белых изображений, яркость которых постоянна в пределах каждого
(4**)
наилучшей аппроксимации
(*)
[ ].
n
,
.
, и соответствующий оператор наилучшего приближения
П
(1)
(13) обеспечит не менее точное приближение
f
(
×
)
, чем
F
(1)
:
(18)
(24)
; (25)
.
. (28)
, (29)
, (30)
, (31)
могут быть произвольно отнесены к одному из множеств
A
i
или
A
j
.
(32)
(33)
, (34)
(35)
(36)
, (37)
, (38)
(39)
, так что
, (42)
,
где
.
Невязка приближения
, (43)
, (34*)
, (24*)
(17*)
, векторы
.
n
(30)
, (32)
и
и тем самым доказано и второе утверждение
n
, причем
П
*f
действует фактически только на "видимую компоненту"
g
(
×
), обращая "невидимую, ИК, компоненту"
g
(
×
) в ноль.
.
. [*]
=
=
Главная