Дифференциальные уравнения I и II порядка
Введение.
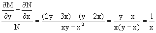
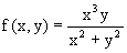
Исследование поведения различных систем (технические, экономические, экологические и др.) часто приводит к анализу и решению уравнений, включающих как параметры системы, так и скорости их изменения, аналитическим выражением которых являются производные. Такие уравнения, содержащие производные, называются дифференциальными. Рассмотрим следующий пример из области рекламного дела. При организации продажи нового товара торговым предприятиям зачастую приходится прибегать к услугам рекламы. Для того, чтобы последняя была успешной и современной, необходимо знать закон распространения информации о новом товаре среди ее потенциальных покупателей. Найдем вид указанной закономерности при следующих предположениях относительно рассматриваемого процесса. Пусть N – общее число потенциальных покупателей нового товара, x(t) – число покупателей, знающих к моменту времени t о поступлении в продажу нового товара, [N-x(t)] – число покупателей еще не имеющих информации о товаре. Предположим, что информация о товаре распространяется среди покупателей посредством их общения между собой. Будем считать, что в течение достаточно малого промежутка времени возможна встреча лишь двух покупателей, и вероятность этой встречи считаем равной P. Вероятность того, что при встрече покупатель, знающий о товаре, встретиться с покупателем, еще не имеющем информации о товаре, равна (N-x)/N. Тогда скорость изменения величины x(t) в момент t равняется px(N-x)/N систематическому ожиданию числа покупателей впервые узнавших о товаре. Таким образом, получаем уравнение
Данное уравнение содержит величину x и ее производную
Отметим, что логистическая кривая дает также представление о процессе распространения технологических новшеств, эпидемий и даже слухов. В качестве второго примера рассмотрим задачу представления в виде уравнения однопараметрического семейства кривых, обладающих некоторым общим свойством.
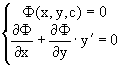
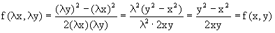
Пусть однопараметрическое семейство кривых задается уравнением Ф(X,Y,C)=0, где C – параметр. Составим дифференциальное уравнение, которое описывает общее свойство присущее всем кривым данного семейства. Предположим, что отдельная кривая семейства заданных функций y=f(x,c). Тогда подставляя ее в общее уравнение семейства получаем тождество
Предполагая дифференцируемость функции Ф(X,Y,C) и дифференцируя Ф(x,f(x,c),c) по x, получаем
Рассматривая последнее вместе с уравнением Ф(x,y,c)=0, т.е. рассматривая систему
и исключая в ней параметр C, в результате получим дифференциальной уравнение
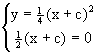
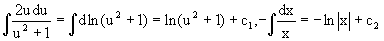
описывающее свойство присущее всем кривым семейства. Например, пусть семейство кривых представляет семейство гипербол xy=c.
Дифференцируя данное уравнение по x, получаем
Так как при этом автоматически произошло исключение параметра c, то последнее уравнение, являясь дифференциальным, представляет семейство вышеуказанных гипербол.
1. Основные понятия и определения. Определение. Уравнение, связывающее функцию y, ее аргумент x и ее производные, называется обыкновенным дифференциальным уравнением. Обыкновенное дифференциальное уравнение символически можно записать в виде
.
Определение. Порядком дифференциального уравнения называется порядок наивысшей производной, входящей в уравнение. Например:
А)
Б)
В)
Определение. Решением дифференциального уравнения называется всякая функция y=f(x), которая, будучи подставлена в уравнение, обращает его в тождество.
Например, пусть дано дифференциальной уравнение
Тогда любая функция вида y=c 1 sinx+c 2 cosx, где c 1 , c 2 – произвольные постоянные, является решением этого уравнения.
Действительно, дифференцируя уравнение y=c
1
sinx+c
2
cosx дважды по x получаем
Процесс решения дифференциального уравнения называют интегрированием. Поэтому само решение называют еще интегралом уравнения. Как правило, дифференциальному уравнению отвечает множество решений (смотрите вышеприведенный пример), задаваемых семейством функций y=f(x,c) в явном виде или Ф(x,y,c)=0 в неявном виде. В этих уравнениях с-параметр семейства. Таких параметров, вообще говоря, может быть несколько. В общем случае обыкновенному дифференциальному уравнению n-го порядка
Определение. Общим решением дифференциального уравнения n-го порядка называется функция y=f(x, c 1 , c 2 , …, c n ), зависящая от аргумента x и n произвольных постоянных c 1 , c 2 , …, c n , которая будучи подставлена в уравнение обращает его в тождество. Отметим, что эта функция может задаваться и неявным образом, тогда она представляется уравнением Ф(x , y,c 1 , c 2 , …, c n )=0. Общее решение дифференциального уравнения называется также общим интегралом.
Чтобы из общего уравнения выделить некоторое конкретное частное решение дифференциального уравнения, необходимо задать значения для параметров c
1
, c
2
, …, c
n
. Обычно значения этих произвольных постоянных c
1
, c
2
, …, c
n
определяются заданием начальных условий: y(x
0
)=y
0
,
………………………………
решая которые относительно c 1 , c 2 , …, c n находят значения этих постоянных.
Например, для дифференциального уравнения 1-го порядка
Геометрическое представление решения дифференциального уравнения рассмотрим на примере уравнения 1-го порядка вида
В плоскости введем декартову систему координат с осями x и y. Каждой точке M(x,y) плоскости поставим в соответствие вектор
Таким образом дифференциальное уравнение
Действительно, пусть y=h(x) уравнение указанной выше кривой. Тогда в каждой точке кривой касательная к ней имеет направление
И обратно, если y=h(x) решение дифференциального уравнения
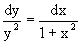
В качестве иллюстрации возьмем уравнение
Для построения поля направлений удобно использовать метод изоклин. Изоклина это линия в каждой точке которой вектор
Для рассматриваемого дифференциального уравнения изоклины задаются уравнением
Как видно, изоклинами являются прямые, проходящие через точку начала координат. На рис. 2 изображены изоклины отвечающие значениям
2. Существование решения дифференциального уравнения первого порядка. Задано дифференциальное уравнение вида
Пусть y=y(x) – решение данного уравнения, удовлетворяющее начальному условию y(x
0
)=y
0
. Тогда из
Семейство всех первообразных для f(x,y(x)) представляется неопределенным интегралом
И, следовательно, получаем
т.е. y(x) является решением интегрального уравнения
Задача поиска решения дифференциального уравнения
Первое доказательство существования и единственности решения дифференциального уравнения
Теорема. Пусть задано уравнение
Тогда если
А) функция f(x,y) непрерывна по обеим переменным x и y в замкнутой области
Б) функция f(x,y) удовлетворяет в областиR по переменной y условию Липшица, т.е.
То существует единственное решение y=y(x) указанного уравнения, удовлетворяющее начальному условию y(x
0
)=y
0
и являющееся непрерывно дифференцируемым в интервале
Доказательство теоремы приводить не будем, укажем лишь, что может быть осуществлено методом последовательных приближений Пикара (1856-1941), использующего ранее приведенное интегральное уравнение. Последовательность функций, дающих приближенное решение уравнения, строится по правилу:
………………………………
Далее можно показать, что функция
Выше был рассмотрен случай дифференциального уравнения первого порядка разрешенного относительно производной y / .
Более общим видом является случай уравнения вида
Допустим, что данное уравнение может быть разрешено относительно y
/
, и в общем случае это дает несколько вещественных уравнений
Если при этом каждая из функций
Пример. Рассматривается дифференциальное уравнение вида
Особым решением дифференциального уравнения
называется решением y=y(x), которое во всех своих точках не обладает свойством единственности. Через каждую точку такого решения проходит не менее двух интегральных кривых, имеющих одинаковое направление касательной. Отметим, что из сказанного выше следует, что дифференциальное уравнение может иметь решения не являющиеся ни частными, ни особыми, а именно, если эти решения получаются склеиванием кусков из частных и особых решений.
Пусть рассматривается дифференциальное уравнение первого порядка общего вида F(x,y,y / )=0.
Тогда существование его особого решения прежде всего может быть связано с условием
Таким образом, формируя систему уравнений
и исключая из нее переменную y / , получаем функцию y=y(x), которая может дать особое решение дифференциального уравнения F(x,y,y / )=0. Определение. Кривая, получаемая исключением параметра p из системы уравнений
называется дискретной кривой уравнения F(x,y,y / )=0. Для того, чтобы дискретная кривая давала особое решение дифференциального уравнения, остается проверить, что она удовлетворяет уравнению F(x,y,y / )=0, и что через каждую ее точку проходит хотя бы одна интегральная кривая общего решения этого уравнения, т.е. проверить, что в точках дискретной кривой нарушается свойство единственности решения дифференциального уравнения.
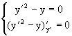
Пример 1. Дано уравнение
Как было указано выше его особое решение дается уравнениями y=x+c и y=-x+c. Опреляя для него дискретную кривую имеем систему уравнений
Очевидно, данная система решения не имеет, поэтому рассматриваемое дифференциальное уравнение особых решений не имеет.
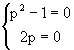
Пример 2. Рассмотрим решение уравнения
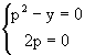
Его общее решение имеет вид
, (где p=y
/
)
и исключая из нее переменную p, получаем уравнение дискретной кривой y=0 (ось Ox). Очевидно, она является решением дифференциального уравнения, так как из y=0=const следует y / =0. Кроме того через любую точку M(x 0 ;0) этой кривой проходит частное решение дифференциального уравнения, получаемое из общего при c=-x 0 . Не трудно убедиться, что касательные в точке M(x 0 ;0) дискретной кривой и частного решения совпадают. Таким образом, дискретная кривая y=0 является особым решением исходного дифференциального уравнения. Ниже на рис. 3 изображено семейство интегральных кривых этого уравнения, являющееся семейством парабол. Из рисунка видно, что дискретная кривая y=0, являющаяся осью Ox, касается в каждой точке некоторой кривой семейства.
Выше была рассмотрена ситуация, когда уравнение F(x,y,y
/
)=0 не определяло y
/
как неявную функцию переменных x и y, так как выполнялось условие
Предположим теперь, что в области D, где ищется решение дифференциального уравнения, выполняется условие
Таким невыполнимым условием, обычно, берется условие Липшица, и геометрическое место точек, в которых оно нарушается, задается условием
Пример 3. Рассматривается дифференциальное уравнение
Пример 4. Дано уравнение
Для него
Однако, в данном случае кривая y=0 не удовлетворяет дифференциальному уравнению. Следовательно, это уравнение особых решений не имеет. Особым решением дифференциального уравнения довольно часто бывают огибающие семейства его интегральных кривых. Определение. Кривая y=y(x) называется огибающей семейства интегральных кривых интегрального уравнения, задаваемого общим решением Ф(x,y,c)=0, если в каждой точке она касается одной из кривых данного семейства, т.е. имеет с ней в этой точке общую касательную. Для нахождения огибающей может быть использован следующий подход. Пусть огибающая задана параметрически уравнениями x=x(t),y=y(t). Со значением параметра t можно связать значение постоянной c, отвечающей той интегральной кривой семейства Ф(x,y,c)=0, которая касается огибающей в точке M(x(t),y(t)), т.е. величину c можем рассматривать как функцию параметра t, а именно c=c(t). Подставляя функции x=x(t),y=y(t) и c=c(t) в Ф(x,y,c)=0, получаем тождество
Предполагая, что Ф(x,y,c) имеет непрерывные частные производные первого порядка, из тождества вытекает
Покажем, что
Уравнение Ф(x,y,c
0
)=0, где c
0
=c(t
0
), задает интегральную кривую семейства, проходящую через точку M
0
(x
0
, y
0
). Угловой коэффициент касательной к данной интегральной кривой в точке M
0
(x
0
, y
0
) равен
Из
Таким образом, для произвольного значения t
0
параметра t выполняется
Следовательно, из
Но так как
Таким образом, для нахождения огибающей надо рассмотреть систему уравнений
Исключая из нее параметр c, найдем уравнение y=y(x) или Y(x,y)=0 огибающей (исключая точки, где одновременно
Пример 5. Снова рассмотрим уравнение из примера 2
Для нахождения огибающей рассмотрим систему
Из нее получаем уравнение огибающей y=0. Далее убеждаемся, что y=0 действительно является огибающей, так как через каждую ее точку M(x 0 ;0) проходит интегральная кривая со значением параметра c=-x 0 .
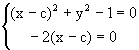
Пример 6. Рассмотрим дифференциальное уравнение
Нетрудно видеть, что семейством интегральных кривых являются окружности единичного радиуса с центром в точках (c,0), лежащих на оси Ox. На рис. 4 изображено семейство этих окружностей. Из рисунка видно, что семейство интегральных кривых имеет две огибающие y=1 и y=-1, удовлетворяющих диффренциальному уравнению и, следовательно, дающих его два особых решения.
Найдем уравнения огибающих аналитически. Из Ф(x,y,c)=(x-c)
2
+y
2
-1,
Исключая из уравнения параметр c, получаем y 2 =1. Данное уравнение дает две огибающих y=1 и y=-1.
Пример 7. Дано уравнение
Его общее решение будет
Из
Исключая из уравнений параметр c получаем уравнение кривой y=0, являющейся осью Ox. Кривая y=0 удовлетворяет дифференциальному уравнению и, следовательно, является его решением. Однако, она не является огибающей, так как не имеет общих точек с интегральными кривыми семейства. Таким образом, являясь решением уравнения, она не является его особым решением. Далее будут рассмотрены методы решения отдельных типов дифференциальных уравнений. 3. Дифференциальное уравнение первого порядка с разделяющимися переменными. Определение. Дифференциальное уравнение первого порядка
называется уравнением с разделяющимися переменными, если оно может быть представлено в виде
Разнося переменные x и y и их дифференциалы в разные стороны такого уравнения, оно может быть записано в виде
Можно следующую интерпретацию происхождения данного уравнения.
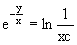
Пусть величина Z является с одной стороны функцией величины y, т.е. z=M(y). С другой стороны величина Z является функцией величины x, т.е. z=g(x). Например, если Z-объем выпуска продукции, то с одной стороны z зависит от величины y – объема основных фондов, с другой стороны z может рассматриваться зависимой от величины x – объема затрачиваемых трудовых ресурсов. Таким образом, через соотношения z=H(y) и z=G(x) одна из величин y или x представляется функцией другой величины x или, соответственно, y. Исходное дифференциальное уравнение отображает эту функциональную связь через дифференциалы функций H(y) и G(x), уравнивая их, т.е. dz=dH(y)=dG(x). Отсюда можно считать, что
Таким образом, чтобы найти эту функциональную связь в виде y=y(x),x=x(y) или f(x,y)=0, надо проинтегрировать каждую из частей дифференциального уравнения, получая
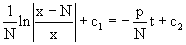
H(y)=G(x)+c. Если это возможно, из него одна из величин может быть представлена явно функцией другой y=y(x) или x=x(y). Пример 1. Рассмотрим дифференциальное уравнение получаемое при моделировании процесса распространения информации о новом товаре
Данное уравнение, очевидно, относится к уравнению с разделяющимися переменными. Разнеся переменные x и t и их дифференциалы по разные стороны, уравнение запишем в виде
Проинтегрируем каждую из сторон этого уравнения:
Приравнивая найденные интегралы получаем
где c=N(c
1
-c
2
). Отсюда далее
Нетрудно проверить, что дискретной и огибающей кривых дифференциальное уравнение не имеет. Однако беря крайние значения для
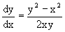
Пример 2. Возьмем дифференциальное уранение
геометрическая иллюстрация решений которого рассматривается в параграфе 2. Данное уравнение является с разделяющимися переменными> Разнося переменные в разные стороны, записываем уравнение в виде
Интегрирование левой и правой частей уравнения, дает общее решение вида
Как видно получилось семейство гипербол.
Пусть из данного семейства интегральных кривых (гипербол) необходимо выделить кривую (решение) проходящую через точку M(1,1), т.е. выделить решение, удовлетворяющее начальному условию y(1)=1. Для этого в общее решение уравнения подставим значения x=1, y=1, и найдем, отвечающее искомой кривой, значение постоянной
Yx=1 или
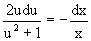
Пример 3. Рассмотрим уравнение
Оба являются с разделяющимися переменными и приводятся к виду dy=dx и dx=-dx. Интегрирование левых и правых частей уравнений дает следующие их общие решения y=x+c и y=-x+c.
Пример 4. Следующим уравнением возьмем уарвнение
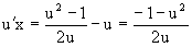
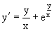
Разрешая его относительно y / получаем
.
Разделяя переменные имеем
Найдем интегралы от левой и правой частей уравнения:
Приравнивая интегралы и заменяя две постоянных на одну получаем следующий вид общего решения уравнения
Возводя в квадрат обе части данного уравнения, получаем окончательный вид общего решения (x-c) 2 +y 2 =1.
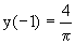
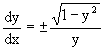
Пример 5. Решить дифференциальное уравнение
Найти его частное решение при условии
Разрешая уравнение относительно y / , видим, что оно является уравнением с разделяющимися переменными
Разнося переменные по разные стороны уравнения получаем
Интегрируя каждую из частей этого уравнения, получаем следующее общее решение исходного дифференциального уравнения
Используя начальное условие
4. Однородное дифференциальное уравнение первого порядка.
Функция f(x,y) называется однородной степени m, если
Функция f(x,y) называется однородной нулевой степени, если
Например, функция
Всякая однородная функция нулевой степени может быть представлена в виде функции от отношения y/x (или отношения x/y). Действительно, пусть f(x,y) – однородная функция нулевой степени, тогда, взяв в качестве
Определение. Дифференциальное уравнение первого порядка F(x,y,y
/
)=0, называется однородным, если оно может быть представлено в виде y
/
=f(x,y) или
Решение однородного дифференциального уравнения сводится к решению уравнения с разделяющимися переменными заменой y/x=u или y=ux, где u-функция от x.
Подставляя в исходное уравнение
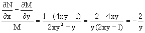
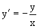
Пример 1. Рассматривается уравнение (x 2 -y 2 )dx+2xydy=0.
Перепишем его в виде
Разделяя переменные приходим к уравнению
Интегрируем левую и правую части этого уравнения:
Приравнивая найденные интегралы, получаем общее решение вспомогательного дифференциального уравнения относительно переменных x и u
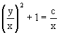
Потенциируя последнее выражение, общее решение получает вид
Заменяя u=y/x, получаем общий интеграл исходного дифференциального уравнения
Последнее выражение приводится к виду
Таким образом, семейством интегральных кривых исходного уравнения является семейство окружностей с центрами в точках
Пример 2. Требуется найти частное решение уравнения
Удовлетворяющих начальному условию y(1)=0. Нетрудно видеть (убедиться), что справа стоит однородная функция нулевой степени. Итак, исходное дифференциальное уравнение является однородным. Выполняя замену y=ux, приводим его к виду
Разделяем переменные, получаем
Интегрируя обе части этого уравнения, получаем общее решение вспомогательного дифференциального уравнения
Подставим в него
Последнее соотношение дает общее решение исходного дифференциального уравнения. Чтобы найти частное решение, воспользуемся начальными условиями x=1,y=0. Подставим их в общее решение
Таким образом, искомое частное решение имеет вид
5. Линейное дифференциальное уравнение первого порядка. Определение. Линейным дифференциальным уравнением первого порядка называется уравнение вида y / +g(x)y=h(x). Такое название ему дано в связи с тем, что относительно переменных y и y / его можно рассматривать как линейное.
Если
Если
Его общее решение имеет вид
Предположим теперь, что
Представим исходное уравнение в виде
и подставим в выражение, стоящее в квадратных скобках,
являясь линейным однородным дифференциальным уравнением (в нем вместо y взята для удобства переменная z, чтобы не возникло путаницы решений этого уравнения с исходным). Общее решение этого уравнения, как уже отмечалось ранее, может быть представлено в виде
где A – произвольная постоянная. Очевидно,
Если теперь освободиться от условия фиксирования постоянной
В нем второй множитель функция
Действительно, подставляя в это уравнение u / x (x,c), получаем тождество
Таким образом, показано, что общее решение линейного дифференциального уравнения
Представляется в виде y=u(x,c)v(x), где v(x) – частное решение однородного уравнения
Нетрудно видеть, что в обоих случаях приходится решать уравнение с разделяющимися переменными.
Заметим, что хотя при решении однородного уравнения
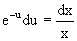
Являющегося уравнением с разделяющимися переменными. На втором этапе определяется решение u(x,c) дифференциального уравнения u / v(x)=h(x), Также являющегося уравнением с разделяющимися переменными. После их решений общее решение исходного линейного уравнения представляется в виде Y=u(x,c)v(x). Пример 1. Решить уравнение Y / +2y=sinx. Сначала решаем однородное уравнение v / +2v=0. Из него получаем
Интегрируя его левую и правую части, получаем его общий интеграл (решение) вида
Полагая в нем c=0 и потенциируя его, получаем следующее его нетривиальное частное решение
Далее решаем уравнение вида
Разнося переменные в разные части уравнения и интегрируя их, получаем общее решение этого уравнения
Вычислим интеграл:
Рассматривая данное уравнение, как уравнение относительно интеграла, находим его вид
Следовательно,
Тогда общее решение исходного уравнения будет
Предположим теперь, что требуется выделить частное решение, проходящее через точку M(0,0), т.е. решение, удовлетворяющее начальному условию y(0)=0. Для этого подставим значения x=0, y=0 в общее решение и найдем соответствующее значение постоянной c:
Искомым частным решением является
Пример 2. Решить уравнение
являющееся линейным дифференциальным уравнением. На первом этапе найдем решение соответствующего линейного однородного уравнения
Разделяя переменные по разные стороны уравнения, имеем
Интегрируя обе части данного уравнения, получаем следующее его частное решение
На втором этапе решаем уравнение вида
Делая замену
Интегрируя правую и левую части уравнения, получаем его общее решение
Общее решение исходного дифференциального уравнения имеет вид
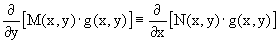
6. Дифференциальное уравнение первого порядка в полных дифференциалах. Определение. Пусть дифференциальное уравнение первого порядка представлено в виде M(x,y)dx+N(x,y)dx=0, Где M(x,y) и N(x,y) – функции двух переменных x и y. Тогда, если левая часть уравнения есть полный дифференциал некоторой функции U(x,y), т.е. dU(x,y)=M(x,y)dx+N(x,y)dy, то такое уравнение называется уравнением в полных дифференциалах. Уравнение в полных дифференциалах кратко можно представить в виде dU(x,y)=0, а поэтому общий интеграл (решение) такого уравнения имеет вид U(x,y)=0. Дифференциальное уравнение такого типа возникает, когда поведение системы подчинено условию сохранения некоторой величины U(энергии, массы, стоимости и т.д.). Отметим следующий признак, позволяющий определить является ли рассматриваемое уравнение уравнением в полных дифференциалах. Путьс dU(x,y)=M(x,y)dx+N(x,y)dy, тогда функции M(x,y) и N(x,y) должны быть для U(x,y) частными производными первого порядка, соответственно, по переменным x и y, т.е.
Предполагая функции M(x,y) и N(x,y) непрерывными и имеющими непрерывные частные производные, соответственно, по y и x, т.е. выполнение соотношений
из тождества
получаем, что для M(x,y) и N(x,y) должно выполняться условие
Полученное условие является не только необходимым, но и достаточным для того, чтобы уравнение M(x,y)dx+N(x,y)dy=0 Было уравнением в полных дифференциалах. Нахождение общего решения уравнения в полных дифференциалах проводится в два этапа.
На первом этапе функция U(x,y) рассматривается как функция только аргумента x, переменная y получает как бы фиксированное значение
ставится в соответствие дифференциальное уравнение
Пусть его общее решение представляется в виде
Но так как решение уравнения зависит от y, то в общем решении постоянная c является функцией y, т.е. c=h(y). Следовательно, общее решение предыдущего дифференциального уравнения, снимая с y условие закрепления его значения, имеет вид U(x,y)=g(x,y)+h(y). На втором этапе находится вид функции h(y). Для этого обратимся к соотношению
в котором уже закрепляется как бы значение переменной x. Используя данное соотношение и вид функции U(x,y), получаем дифференциальное уравнение, связывающее переменные h и y:
Интегрируя это уравнение, находим его общее решение
Из
В последнем двойном интеграле вместо
Так как общее решение исходного дифференциального уравнения записывается в виде U(x,y)=c=const, то, заменяя две постоянных на одну, получаем следующий вид общего решения уравнения
Пример 1. Дано дифференциальное уравнение (6x 2 y 2 +6xy-1)dx+(4x 3 y+3x 2 y+2y)dy=0.
В нем M(x,y)=6x
2
y
2
+6xy-1, N(x,y)=4x
3
y+3x
2
y+2y. Из
Следует, что данное уравнение является уравнением в полных дифференциалах. Проведем его решение в два этапа. На первом решаем уравнение
в котором переменная y считается закрепленной. Интегрируя это уравнение, получаем U(x,y)=2x 3 y 2 +3x 2 y-x+h(y). На втором этапе определяем вид функции h(y), используя для этого соотношение
и дифференциальное уравнение для h и y
4x
3
y+3x
2
+h
/
(y)=4x
3
y+3x
2
+2y или
Интегрируя последнее, получаем h=y 2 +c. Общий интеграл исходного уравнения тогда можно записать в виде 2x 3 y 2 +3x 2 y-x+y 2 =c. Пример 2. Найти решение уравнения 2xsinydx+(3y 2 +x 2 cosy)dy=0. Проверяем, является ли оно уравнением в полных дифференциалах? Для этого из M(x,y)=2xsiny, N(x,y)=3y 2 +x 2 cosy Находим
Так как, очевидно, выполняется условие
то уравнение есть уравнение в полных дифференциалах. Сначала решаем уравнение
считая y постоянной. Интегрирование уравнения дает U(x,y)=x 2 siny+h(y). Затем находим функцию h(y), используя соотношения
Интегрируя последнее уравнение, получаем h=y 3 +c. Тогда общий интеграл исходного дифференциального уравнения записывается в виде X 2 siny+y 3 +c=0. Далее рассмотрим понятие интегрирующего множителя. Ранее отмечалось, что уравнение в полных дифференциалах возникает, когда поведение системы сохраняет некоторую величину U, т.е. удовлетворяет соотношению U(x,y)=c. Дифференциальным аналогом его является уравнение dU(x,y)=0 или M(x,y)dx+N(x,y)dy=0,
Где
Предположим теперь, что частные производные функции U(x,y) представимы в виде
Тогда соотношению U(x,y)=e будет соответствовать уравнение в полных дифференциалах вида M(x,y)g(x,y)dx+N(x,y)g(x,y)dy=0. Если теперь данное уравнение разделить на общий множитель слагаемых g(x,y), то получим уравнение M(x,y)dx+N(x,y)dy=0. Решение последнего уравнения эквивалентно решению предыдущего, из которого оно получено, однако оно может уже не являться уравнением в полных дифференциалах, также для него возможно будет
В то же время после умножения его на множитель g(x,y), оно становится уравнением в полных дифференциалах. Определение. Функция g(x,y) называется интегрирующим множителем дифференциального уравнения M(x,y)dx+N(x,y)dy=0, Если после умножения его на эту функцию оно становится уравнением в полных дифференциалах. Данный способ решения дифференциального уравнения называется методом интегрирующего множителя. Найдем условие, которому должен подчиняться интегрирующий множитель g(x,y). Из предложения, что уравнение M(x,y)g(x,y)dx+N(x,y)g(x,y)dy=0 Становится уравнением в полных дифференциалах следует выполнение условия
Разверернув левую и правую части этого тождества
заключаем, что функция g(x,y) должна являться решением уравнения
В общем случае решение данного уравнения вызывает затруднения. Отметим два случая, когда его решение становится проще. Случай первый. Пусть
Тогда интегрирующий множитель можно искать в виде функции зависящей только от x.
Действительно, пусть g=g(x). Тогда в виду
интегрируя которое, находим
Второй слуяай относится к аналогичной ситуации, когда
Тогда интегрирующий множитель ищется в виде функции только от y, т.е. g=g(y). Аналогично предыдущему, не трудно видеть, что функция g(y) является решением уравнения
и представляется в виде
Пример 3. Дано уравнение (y 2 -3xy-2x 2 )dx+(xy-x 2 )dy=0.
Из M(x,y)=y
2
-3xy-2x
2
, N(x,y)=xy-x
2
,
Однако из соотношения
вытекает, что можно найти такой интегрирующий множитель g=g(x), после умножения на который исходное уравнение становится уравнением в полных дифференциалах. Указанный множитель находим из уравнения
интегрируя которое получаем
Умножая исходное уравнение на множитель g=x, получаем (xy 2 -3x 2 y-2x 3 )dx+(x 2 y-x 3 )dy=0, являющееся уже уравнением в полных дифференциалах. Интегрируя его, находим
затем из U / y =x 2 y-x 3 +h / (x) и U / y =N(x,y)=x 2 y-x 3
получаем x
2
y-x
3
+h
/
=x
2
y-x
3
, т.е.
следовательно, h=c=const. Таким образом, общее решение имеет вид
Пример 4. Требуется решить уравнение (2xy 2 -y)dx+(y 2 +x+y)dy=0.
Из M(x,y)=2xy
2
-y, N(x,y)=y
2
+x+y,
Однако из соотношения
вытекает, что для исходного дифференциального уравнения существует интегрирующий множитель g=g(y), с помощью которого уравнение становится уравнением в полных дифференциалах. Интегрирующий множитель находится из уравнения
Интегрируя его, получаем
Умножая исходное уравнение на множитель
Это уравнение является уже уравнением в полных дифференциалах. Решаем его
затем из
получаем
Интегрируя последнее уравнение, имеем
Таким образом, общий интеграл исходного уравнения имеет вид
7. Дифференциальные уравнения второго порядка. Обыкновенное дифференциальное уравнение второго порядка имеет следующий общий вид
F(x,y,y
/
,y
//
)=0 или
Наше знакомство с дифференциальными уравнениями второго порядка будет ограничено рассмотрением линейного дифференциального уравнения второго порядка с постоянными коэффициентами. Определение. Линейным дифференциальным уравнением второго порядка с постоянными коэффициентами называется уравнение вида y // +py / +qy=h(x), где p и q – числа, h(x) – некоторая функция от x.
Если в этом уравнении
Рассмотрим решение однородного уравнения
Этому явлению может быть поставлено в соответствие квадратное уравнение вида
Называемое характеристическим. Его корни
Возможны следующие три случая для вида корней
Случай 1. Дискриминант характеристического уравнения положителен, т.е. p
2
-4q>0. Тогда оба корня
где c 1 , c 2 – произвольные постоянные.
Действительно, если
Случай 2. Дискриминант характеристического квадратного уравнения равен нулю, т.е p 2 -4q=0.
Тогда оба корня
В этом случае общее решение однородного уравнения имеет вид
Случай 3. Дискриминант характеристического квадратного уравнения отрицателен, т.е. p 2 -4q<0.
Тогда говорят, что квадратное уравнение не имеет действительных корней (или что оба корня являются комплексно-сопряженными). В этом случае, обозначая
Рассмотрим теперь решение неоднородного уравнения y // +py / +g(y)\h(x), где h(x) – некоторая функция от x. Пусть в этом уравнении q=0, тогда, используя подстановку y / =z, y // =z / , приходим к решению линейного дифференциального уравнения первого порядка z / +pz=h(x).
Поделитесь этой записью или добавьте в закладки |
Полезные публикации |
.
,
, (где p=y
/
)
.
. Искомое частное решение дается уравнением
представляет общее решение дифференциального уравнения u
/
v(x)=h(x).
.
, общее решение однородного уравнения дается в виде
Главная