Колебания. Правила сложения колебаний.
Содержание.
Определение колебаний. * Графический метод сложения колебаний. Векторная диаграмма. * Методом вращающегося вектора амплитуды. * Сложение взаимно перпендикулярных колебаний. * Сложение колебаниё одного направления и одинаковой частоты. * Различные формы траектории суммы колебаний. Фигуры Лиссажу. *
Колебаниями называются движения или процессы, которые полностью или почти полностью повторяются через равные промежутки времени. Колебания, описываемые уравнением
где x – смещение колеблющийся величины от положения равновесия; w - циклическая частота, определяющая число колебаний, совершаемые за время 2 π секунд;t - время. называют гармоническими.
Графический метод сложения колебаний. Векторная диаграмма. Методом вращающегося вектора амплитуды. Метод вращающегося вектора амплитуды заключается в представлении гармонического колебания с помощью вектора, длина которого равна амплитуде колебания, а направление образует с осью x угол, равный начальной фазе колебаний называют методом вращающего вектора амплитуды. Гармонические колебания одинакового направления и частоты удобно складывать, изобразив колебания в виде векторов на плоскости - графически.
2). Из взятой на оси некоторой точки О отложим направленный отрезок - вектор длины A, образующий с осью угол некоторый α . 3). Вращая вектор А вокруг точки О с угловой скоростью ω 0 , получим, что проекция конца вектора на ось будет совершать гармонические колебания с амплитудой, равной длине вектора, с круговой частотой, равной угловой скорости вращения вектора, и с начальной фазой, равной углу, образуемому вектором с осью в начальный момент времени: проекция конца вектора будет перемещаться по оси x, принимая значения от - А до + A , а координата этой проекции будет изменяться со временем по закону
Схему, полученную таким методом представления колебаний, называют векторной диаграммой .
Сложение взаимно перпендикулярных колебаний.
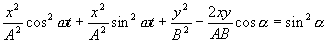
Рассмотрим две взаимно перпендикулярные векторные величины x и y , изменяющиеся со временем с одинаковой частотой ω по гармоническому закону:
Где e x и e у — орты координатных осей x и y, А и B — амплитуды колебаний. Величинами x и у может быть, например, смещения материальной точки (частицы) из положения равновесия. В случае колеблющейся частицы величины x и y можно представить в виде:
Они определяют координаты частицы на плоскости xy. Выражения (2) представляют собой заданное в параметрической форме уравнение траектории, по которой будет двигаться частица. Вид траектории зависит от разности фаз обоих колебаний.
Исключив из уравнений (2) параметр
t, получим уравнение траектории в обычном виде.
Из первого уравнения:
По формуле для косинуса суммы:
Преобразуем это уравнение
Получили уравнение эллипса, оси которого повернуты относительно координатных осей х и у. Ориентация эллипса и его полуоси зависят довольно сложным образом от амплитуд A и В и разности фаз α . Сложение колебаниё одного направления и одинаковой частоты. Рассмотрим сложение двух гармонических колебаний х 1 и x 2 одного направления и одинаковой частоты:
Оба колебания представим с помощью векторов A 1 и А 2 . Используя правила сложения векторов можно найти результирующий вектор А, представляющий собой сумму двух векторов A 1 и А 2 .
Вектор A вращается с той же угловой скоростью ω 0 , как и векторы А 1 и А 2 , так что сумма x 1 и х 2 является гармоническим колебанием с частотой (ω 0 , амплитудой A и начальной фазой α . Используя теорему косинусов получаем, что
Замена сложения функций сложением векторов, которая возможна при Представление гармонических колебаний с помощью векторов, значительно упрощает вычисления.
Различные формы траектории суммы колебаний. Фигуры Лиссажу.
При разности фаз, равной нулю, уравнение (5) упрощается следующим образом:
Отсюда :
Результирующее движение является гармоническим колебанием вдоль этой прямой с частотой ω и амплитудой, равной
При разности фаз α равной ±π уравнение (5) имеет вид
- результирующее движение представляет собой гармоническое колебание вдоль прямой
Рис.1
Разность фаз равна
Случаи
При разности фаз, равной
Полуоси эллипса равны соответствующим амплитудам колебаний. Если амплитуды А и В равны, эллипс превращается в окружность.
Равномерное движение по окружности радиуса R с угловой скоростью ω может быть представлено как сумма двух взаимно перпендикулярных колебаний:
(знак плюс в выражении для у соответствует движению против часовой стрелки, знак минус — движению по часовой стрелке). При разных частотах взаимно перпендикулярных колебаний, траектории результирующего движения будут имеют вид сложных кривых, называемых фигурами Лиссажу.
Фигура Лиссажу для отношения частот 1:2 и разности фаз π/2
Фигура Лиссажу для отношения частот 3:4 и разности фаз π /2 Поделитесь этой записью или добавьте в закладки |
Полезные публикации |
1). Выберем некоторую направленную прямую - ось, вдоль которой будем откладывать колеблющуюся величину
x
.
Вектор
A
представляет собой результирующее колебание, потому что из рисунка видно, что проекция этого вектора на ось x равна сумме проекций складываемых векторов:
(2)
Разность фаз равна
Главная