Романовское рассеяние.
Содержание.
4. Механизм рассеяния Романа в антистоксову сторону.
1. Стоксовы линии Романа. Рассмотрим падение пучка света на не содержащую никаких включений посторонних тел и тщательно очищенную прозрачную среду. Хотя и слабо, но даже при максимально возможной частоте свет пучка рассеивается во все стороны. Рассеяние имеет место как в газообразных, так и в жидких и твердых телах. В газах рассеяние происходит на флуктуациях и неоднородностях среды: на атомах и молекулах, в жидкостях и кристаллах. В рассеянном свете имеются волны тех же длин, что и в падающем, но разной интенсивности, которая зависит от длины волны. Такого вида рассеяние релеевским по имени физика Релея. Помимо рассеяния света с той же длиной волны, что и падающая, наблюдается еще слабое свечение с длиной волны, большей, чем падающая,—так называемое рамановское рассеяние. Механизм этого явления объясняется на основе квантовой теории или классической волновой. Особенно просто выглядит квантовое описание этого явления.
Предположим, что квант излучения
даёт возможность вычислить колебательные уровни
2. Механизм романовского рассеяния в стоксову сторону.
Волновой механизм рамановского рассеяния объясняется взаимодействием молекулы, способной к определенному резонансному колебанию с частотой
Для резонансной частоты
По энергии взаимодействия наведенного момента молекулы
аЕ с
полем волны
Случайное поле волны описывается уравнением
где
Сильное взаимодействие этой волны с молекулой может произойти только вблизи резонанса, при частоте в инфракрасном диапазоне
Его решение:
Изменение
х
влечет за собой изменение поляризованности молекулы
Колебания молекулы совершаются с частотой биений
Энергия взаимодействия этого момента с рассеянной волной равна
где черта сверху означает усреднение во времени. Получили:
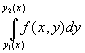
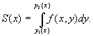
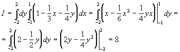
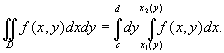
т.о. для стоксовой линии, т. е. для
3. Антистоксовые линии Романа. Если возбуждать спектров Романа лазерным светом в полости резонатора, возникают не только стоксовы линии, но и антистоксовые. Чтобы произошло такое рассеяние, должно быть выполнены следующие условия.
Рассмотрим поле
Е
волны, состоящей из падающей волны с частотой
Решая уравнение (2) с учетом выражений (4) для силы и (10) для поля волны, получаем
Так же как и прежде вычислим мощности
Следовательно, в нормальных условиях опыта
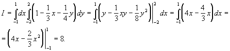
Рис.1 . Векторная схема вынужденного рамановского рассеяния как четырехфотонного процесса:
Оба испускания, как стоксово, так и антистоксово, являются направленными. Иначе обстоит дело с антистоксовым рассеянием, которое описано выражением (13). При выполнении условия
или если
Интенсивность антистоксовой линии достигает максимума для
Из выражения (14) вытекает удивительное свойство антистоксова излучения - эмиссия происходит только в определенном направлении, а именно под углом
где
где
По теореме Карно из векторной диаграммы, представленной на рис.1, можно определить
Используя выражения (16)—(18), а также приняв, что
получим приближенное соотношение для малых углов
Получили, что антистоксов свет рассеивается вдоль конуса, ось которого совпадает с направлением падающего света, а
Рис. 2 . Вынужденное рамановское рассеяние в нитробензоле.Рассеяние в антистоксову сторону наблюдается в виде концентрических колец, окружающих пучок света лазера. Последующие кольца соответствуют рассеянию с большей частотой (более короткой длиной волны). Стоксово рассеяние имеет различные направления, но наибольшая интенсивность света приходится на направление падающего пучка.
Опыт показывает, что если кювету с жидкостью, например нитробензолом, поместить между сферическими зеркалами резонатора Фабри—Перо рубинового лазера, то стоксово рассеяние будет иметь место в инфракрасной области. Для распространения его не характерно какое-либо определенное направление; в основном это направление падающего луча, тогда
как антистоксово рассеяние образует ряд световых конусов с цветовой гаммой, от красного до голубого. Ближайший из них соответствует частоте
4. Механизм рассеяния Романа в антистоксову сторону.
Из уравнения (14) и иллюстрирующего его рис. 1 видно, что процесс рамановекого рассеяния в резонаторе лазера является четырехфотонным процессом, в котором два фотона лазерного света исчезают, а вместо них появляются два новых фотона: стоксов и антистоксов. В четырехфотонном процессе как
Рис. 3 Векторная схема вынужденного рамановского рассеяния как двухфотонных процессов с участием фононов разных направлений и величин.Стоксово рассеяние имеет различные направления, тогда как антистоксово — лишь одно определенное направление.
котором принимают участие два фотона и фотон
Вторая ступень заключается в образовании антистоксова фотона из другого лазерного фотона и соответствующего фонона:
На первой ступени образуются стоксовы фотоны (с заранее определенной энергией
1. Первая стоксова линия S 1 обнаруживает наибольшую интенсивность в направлении лазерного луча. По мере возрастания угла интенсивность уменьшается и не обнаруживает другого максимума ни в каком определенном направлении. (Появление максимумов у последующих стоксовых линий S 2 и S 3 , а также очень слабых максимумов на линии S 1 имеет особую причину, которую мы здесь не будем обсуждать.)2. Соответствующая первой стоксовой линии S 1 первая антистоксова линия AS 1 обнаруживает сильный максимум интенсивности под углом рассеяния около 3,0°.Как видно, антистоксово рассеяние не происходит в исправлении падающего света, а после максимума быстро спадает до нуля. Оба эти обстаятельства совпадают с двухступенчатым процессом вынужденного рамановского перехода.
Поделитесь этой записью или добавьте в закладки |
Полезные публикации |
(6)
Главная