Анализ цепи во временной области методом переменных состояния при постоянных воздействиях.
Для схемы: U 0 (t)= U 0 =const U 0 =5 В i 0 (t)=I 0 d 1 (t) I 0 =2 A
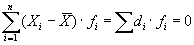
(1) Для нахождения производных переменных состояния решим следующую систему, полученную из системы (1), приняв за неизвестные все токи, участвующие в системе (1) и первые производные переменных состояния. Переменные состояния примем за известные величины для получения их в правой части уравнений состояния:
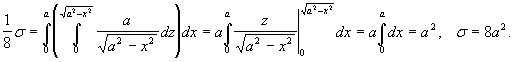
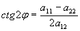
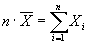
(2) Решаем эту систему в матричном виде с помощью MathCad: 1.2 Найти точные решения уравнений состояния. Сначала найдем корни характеристического уравнения как собственные числа матрицы, составленной из коэффициентов при переменных состояния в уравнениях состояния:
Начальные условия (находятся из схемы): Для нахождения постоянных интегрирования A 1 , A 2 , A 3 , A 4 требуется 4 уравнения. Первые два уравнения получим из выражений точного решения уравнений состояния, учитывая законы коммутаций: переменные состояния не меняют своего значения в момент коммутации.
При t=0: Далее найдем значения производных переменных состояния при t=0 из уравнений состояния:
При t=0: Таким образом имеем 4 уравнения для нахождения постоянных интегрирования, находим их:
Для численного решения уравнений состояния воспользуемся алгоритмом Эйлера:
(X) = [e (A)t -1][A] -1 [B][V]
1.4 Построить точные и численные решения уравнений состояния, совместив их попарно на одном графике для каждой из переменной состояния.
Часть 2. Анализ цепи операторным методом при апериодическом воздействии. Анализу подлежит следующая цепь:
Форма импульса:
воспользуемся методом пропорциональных величин и определим u(t)=1(t), его Лапласово изображение U 0 (s)=1/s. Запишем уравнения по законам Кирхгофа в операторной форме, учитывая, что начальные условия нулевые:
Решаем эту систему:
Нули:
Выделим постоянную часть в H U (s):
Переходная характеристика: Этим же методом находим оригинал характеристики:
2.4 Определить изображение по Лапласу входного импульса. Изабражение по Лапласу фукции f(t):
Поэтому изображение входного сигнала будет
2.5 Найти напряжение на выходе схемы, используя H U (s).
Найдем отдельно оригиналы части выражения при
Функция напряжения на выходе схемы, получена с использованием теоремы о смещении оригинала:
2.6 Построить на одном графике переходную и импульсную характеристики цепи, на другом – входной и выходной сигналы. Переходная h 1 (t) и импульсная h(t) характеристики. Входной и выходной сигналы.
Часть 3. Анализ цепи частотным методом при апериодическом воздействии. 3.1 Найти и построить амплитудно-фазовую (АФХ), амлитудно-частотную (АЧХ) и фазо-частотную (ФЧХ) характеристики функций передачи H U (s). амплитудно-фазовая характеристика:
амплитудно-частотная характеристика:
3.2 Определить полосу пропускания цепи по уровню 0.707
Из графика АЧХ находим полосу пропускания цепи:
3.3 Найти и построить амплитудный и фазовый спектры входного сигнала по уровню 0.1
Амплитудный спектр входного сигнала:
3.4 Сопоставляя спектры входного сигнала с частотными характеристиками цепи, дать предварительные заключения об ожидаемых искажениях сигнала на выходе цепи. Существенная часть амплитудного спектра входного сигнала укладывается в полосу пропускания, исключая полосу 0-5*10 4 с -1 , где и будут наблюдаться основные амплитудные искажения. Фазо-частотная характеристика цепи нелинейна, поэтому здесь будут иметь место фазовые искажения, что видно на рис. 3.5 Найти и построить амплитудный и фазовый спектр выходного сигнала. Получаются по формулам:
Вещественная характеристика:
Существенную часть этой характеристики кусочно-линейно аппроксимируем. Начертим первую и вторую производную кусочно-линейной аппроксимирующей функции.
График напряжения, вычисленного по этой формуле, и полученный в ч.2.
Часть 4. Анализ цепи частотным методом при периодическом воздействии. Дано: T=18*10 -5 c. U m =10 В. t u =6*10 -5 c. форма сигнала u 0 (t):
Коэффициенты ряда Фурье для u 0 (t) найдём из следующего соотношения:
где w 1 = 2 p /Т , k=0, 1, 2, ... w 1= 3.491*10 4 с. Значения A k и a k приведены в табл. ,на рис. , построены соответственно амплитудный и фазовый спектры заданной периодически последовательности сигналов u 0 (t).
4.2 Построить на одном графике заданную периодическую последовательность импульсов и ее аппроксимацию отрезком ряда Фурье, число гармоник которого определяется шириной амплитудного спектра входного сигнала, найденной в п 3.3.
Для определения коэффициентов ряда Фурье выходного напряжения вычислим значения АЧХ и ФЧХ функции передачи для значений k w 1 , k=0, 1, 2, ..., 8. Тогда
В итоге получим:
Поделитесь этой записью или добавьте в закладки |
Полезные публикации |
Дано:
Переменными состояния для данной схемы будут являться напряжения на емкостях С
1
и С
4
. Для нахождения уравнений состояния запишем уравнения по I и II законам Кирхгофа:
Общий вид точных решений уравнений состояния:
Вынужденные составляющие найдем как частное решение уравнений состояния, учитывая то, что если в цепи включены только постоянные источники питания, значит, и принужденные составляющие будут константами, соответственно производные принужденных составляющих будут равны нулю. Учитывая выше сказанное, найдем их из уравнений состояния следующим способом:
Выражения эти производных найденные из выражений решения уравнений состояния:
Точные решения уравнений состояния:
Подставляя выражения производных из уравнений состояния:
h – шаг расчета =2*10
-6
с. i=1…100. Переменными с нулевыми индексами являются значения начальных условий.
1.2.2 Найти точные решения уравнений состояния.(второй способ)
e
(A)t
= a
0
+ a
1
(A) e
(A)t
=
Параметры импульса: U
m
=10 В t
u
=6*10
-5
c
2.1 Определить функцию передачи:
Таким образом:
Функция передачи:
2.2 Найти нули и полюсы функции передачи и нанести их на плоскость комплексной частоты.
Полюсы:
Плоскость комплексной частоты:
2.3 Найти переходную и импульсную характеристики для выходного напряжения.
Импульсная характеристика:
Числитель получившейся дроби:
Упрощенное выражение H
U
(s):
Для нахождения оригинала воспользуемся теоремой о разложении. Для этого найдем производную знаменателя:
Коэффициенты разложения:
Оригинал импульсной характеристики:
Входной импульс представляет собой функцию
Изображение выходного сигнала:
и при части, не имеющей этого множителя:
Для части выражения при
Для части выражения не имеющей множителя
фазо-частотная характеристика:
График АЧХ:
График ФЧХ:
.
с
-1
.
.
Фазовый спектр входного сигнала:
График амплитудного и фазового спектра входного сигнала:
Ширина спектра
с
-1
.
3.6 Определить выходной сигнал по вещественной частотной характеристике, используя приближенный метод Гиллемина.
График вещественной характеристики:
Тогда:
4.1 Разложить в ряд Фурье заданную периодическую последовательность импульсов и построить ее амплитудный и фазовый спектры.
Таким образом, в соответствии с шириной спектра .
4.3 Используя рассчитанные в п. 3.1 АЧХ и ФЧХ функции передачи цепи, определить напряжение или ток на выходе цепи в виде отрезка ряда Фурье.
Главная